Form preview

Get the free 4 phase lesson plan time breakdown template

Get Form
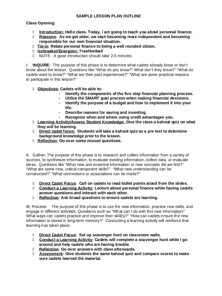
SAMPLE LESSON PLAN OUTLINE Class Opening:? Introduction: Hello class. Today, I am going to teach you about personal finance.? Reasons: As we get older, we start becoming more independent and becoming
We are not affiliated with any brand or entity on this form

Get, Create, Make and Sign 4 phase lesson plan

Edit
Edit your 4 phase lesson plan form online
Type text, complete fillable fields, insert images, highlight or blackout data for discretion, add comments, and more.
Add
Add your legally-binding signature
Draw or type your signature, upload a signature image, or capture it with your digital camera.
Share
Share your form instantly
Email, fax, or share your 4 phase lesson plan form via URL. You can also download, print, or export forms to your preferred cloud storage service.

Editing 4 phase lesson plan online

9.5
Ease of Setup
pdfFiller User Ratings on G2
9.0
Ease of Use
pdfFiller User Ratings on G2
Here are the steps you need to follow to get started with our professional PDF editor:
1
Log in. Click Start Free Trial and create a profile if necessary.
2
Simply add a document. Select Add New from your Dashboard and import a file into the system by uploading it from your device or importing it via the cloud, online, or internal mail. Then click Begin editing.
3
Edit 4 phase lesson plan. Add and change text, add new objects, move pages, add watermarks and page numbers, and more. Then click Done when you're done editing and go to the Documents tab to merge or split the file. If you want to lock or unlock the file, click the lock or unlock button.
4
Get your file. Select your file from the documents list and pick your export method. You may save it as a PDF, email it, or upload it to the cloud.
Dealing with documents is always simple with pdfFiller.

Uncompromising security for your PDF editing and eSignature needs

Your private information is safe with pdfFiller. We employ end-to-end encryption, secure cloud storage, and advanced access control to protect your documents and maintain regulatory compliance.
GDPR
AICPA SOC 2
PCI
HIPAA
CCPA
FDA

How to fill out 4 phase lesson plan

Illustration

How to fill out 4 phase lesson plan

01
Start by understanding the purpose of the lesson plan and the desired learning outcomes.
02
Divide your lesson plan into four main phases: introduction, development, practice, and conclusion.
03
In the introduction phase, provide an engaging activity or hook to grab the students' attention and introduce the topic.
04
In the development phase, outline the key concepts and skills that need to be taught. Break them down into smaller, manageable steps.
05
Plan various activities and exercises that allow students to practice and apply what they have learned in the practice phase.
06
Finally, wrap up the lesson in the conclusion phase by reviewing the main points, summarizing the learning, and providing closure.
07
Make sure to include assessment methods or strategies to evaluate students' understanding and progress throughout the lesson.
08
Adapt and modify the lesson plan as needed based on the individual needs and learning styles of your students.
09
Use visual aids, technology, and other resources to enhance engagement and understanding.
10
Review and reflect on the lesson plan after implementation to identify areas of improvement and make necessary adjustments for future lessons.

Who needs 4 phase lesson plan?

01
Teachers and educators who want to organize their teaching in a systematic and effective manner.
02
New or inexperienced teachers who need a structured framework to guide their lesson planning.
03
Schools and educational institutions that follow a curriculum and require standardized lesson plans.
04
Teachers working with diverse student populations who need to cater to different learning styles and abilities.
05
Teachers who want to ensure consistency and coherence in their teachings.
06
Teachers looking to align their lesson plans with educational standards and objectives.
07
Teachers who want to track student progress and evaluate the effectiveness of their teaching methods.

What is 4 phase lesson plan time breakdown Form?

The 4 phase lesson plan time breakdown is a fillable form in MS Word extension needed to be submitted to the specific address in order to provide some info. It needs to be completed and signed, which may be done in hard copy, or with the help of a particular software such as PDFfiller. It lets you complete any PDF or Word document right in the web, customize it depending on your requirements and put a legally-binding electronic signature. Right after completion, you can send the 4 phase lesson plan time breakdown to the relevant receiver, or multiple ones via email or fax. The blank is printable too because of PDFfiller feature and options presented for printing out adjustment. Both in digital and physical appearance, your form should have a neat and professional appearance. It's also possible to save it as the template to use later, so you don't need to create a new file again. All that needed is to amend the ready template.

Template 4 phase lesson plan time breakdown instructions

Before start to fill out 4 phase lesson plan time breakdown Word form, remember to prepared enough of information required. That's a mandatory part, because errors can bring unwanted consequences starting with re-submission of the full and filling out with deadlines missed and even penalties. You need to be careful when writing down figures. At first glimpse, it might seem to be quite simple. Yet, it is easy to make a mistake. Some use such lifehack as saving their records in a separate document or a record book and then insert this information into documents' samples. In either case, put your best with all efforts and present true and correct information with your 4 phase lesson plan time breakdown word form, and check it twice while filling out all required fields. If you find a mistake, you can easily make amends when you use PDFfiller editor and avoid missing deadlines.

How should you fill out the 4 phase lesson plan time breakdown template

The first thing you will need to start completing 4 phase lesson plan time breakdown writable doc form is editable copy. For PDFfiller users, view the options below how you can get it:

  • Search for the 4 phase lesson plan time breakdown form in the Search box on the top of the main page.
  • If you have the very form in Word or PDF format on your device, upload it to the editing tool.
  • Create the writable document from scratch with the help of PDFfiller’s creation tool and add the required elements using the editing tools.

Regardless of the variant you favor, it is possible to modify the document and put various fancy stuff in it. Nonetheless, if you need a template containing all fillable fields out of the box, you can get it only from the catalogue. Other options are lacking this feature, so you'll need to put fields yourself. Nonetheless, it is quite simple and fast to do as well. Once you finish this, you will have a convenient sample to be filled out. The fillable fields are easy to put when you need them in the file and can be deleted in one click. Each objective of the fields corresponds to a separate type: for text, for date, for checkmarks. If you want other persons to put their signatures in it, there is a corresponding field as well. Signing tool enables you to put your own autograph. When everything is ready, hit Done. And now, you can share your writable form.

Fill form : Try Risk Free
Users Most Likely To Recommend - Summer 2025
Grid Leader in Small-Business - Summer 2025
High Performer - Summer 2025
Regional Leader - Summer 2025
Easiest To Do Business With - Summer 2025
Best Meets Requirements- Summer 2025
Rate the form
4.7
Satisfied
51 Votes

For pdfFiller’s FAQs

Below is a list of the most common customer questions. If you can’t find an answer to your question, please don’t hesitate to reach out to us.

It's simple with pdfFiller, a full online document management tool. Access our huge online form collection (over 25M fillable forms are accessible) and find the 4 phase lesson plan in seconds. Open it immediately and begin modifying it with powerful editing options.
Download and install the pdfFiller Google Chrome Extension to your browser to edit, fill out, and eSign your 4 phase lesson plan, which you can open in the editor with a single click from a Google search page. Fillable documents may be executed from any internet-connected device without leaving Chrome.
You can. With pdfFiller, you get a strong e-signature solution built right into your Chrome browser. Using our addon, you may produce a legally enforceable eSignature by typing, sketching, or photographing it. Choose your preferred method and eSign in minutes.
A 4 phase lesson plan is a structured approach to teaching that includes four key components: introduction, development, practice, and assessment. This framework helps educators effectively deliver lessons and ensures that learning objectives are met.
Teachers and educators are required to file a 4 phase lesson plan as part of their instructional planning and documentation processes, particularly in educational institutions that mandate formal lesson planning.
To fill out a 4 phase lesson plan, educators should outline each phase with specific details: the introduction should capture the lesson goals, the development should include the instructional activities, the practice phase should detail student engagement strategies, and the assessment phase should describe how learning will be evaluated.
The purpose of the 4 phase lesson plan is to provide a clear and comprehensive framework for teaching that promotes effective instruction, facilitates student engagement, and ensures accountability in achieving learning outcomes.
The information that must be reported on a 4 phase lesson plan typically includes lesson objectives, instructional activities, materials needed, assessment methods, and any differentiation strategies for diverse learners.
Fill out your 4 phase lesson plan online with pdfFiller!

pdfFiller is an end-to-end solution for managing, creating, and editing documents and forms in the cloud. Save time and hassle by preparing your tax forms online.

Get started now
Form preview
If you believe that this page should be taken down, please follow our DMCA take down process here .
This form may include fields for payment information. Data entered in these fields is not covered by PCI DSS compliance.