
Get the free Form H Affadavit for Restoration of Name in SVPR - ahd uk gov
Show details
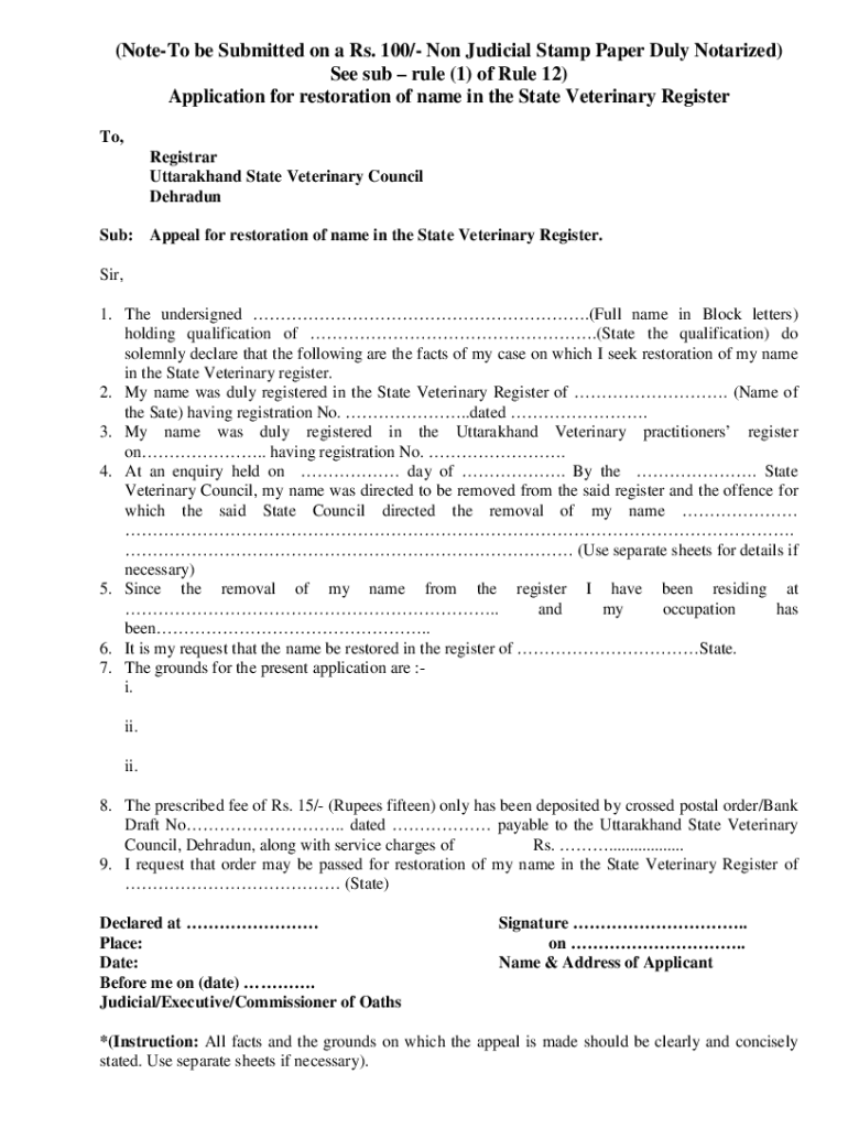
(Noted be Submitted on a Rs. 100/ Non-Judicial Stamp Paper Duly Notarized) See sub-rule (1) of Rule 12) Application for restoration of name in the State Veterinary Register To, Registrar Uttarakhand
We are not affiliated with any brand or entity on this form
Get, Create, Make and Sign form h affadavit for

Edit your form h affadavit for form online
Type text, complete fillable fields, insert images, highlight or blackout data for discretion, add comments, and more.

Add your legally-binding signature
Draw or type your signature, upload a signature image, or capture it with your digital camera.

Share your form instantly
Email, fax, or share your form h affadavit for form via URL. You can also download, print, or export forms to your preferred cloud storage service.
Editing form h affadavit for online
To use our professional PDF editor, follow these steps:
1
Register the account. Begin by clicking Start Free Trial and create a profile if you are a new user.
2
Prepare a file. Use the Add New button. Then upload your file to the system from your device, importing it from internal mail, the cloud, or by adding its URL.
3
Edit form h affadavit for. Add and replace text, insert new objects, rearrange pages, add watermarks and page numbers, and more. Click Done when you are finished editing and go to the Documents tab to merge, split, lock or unlock the file.
4
Get your file. Select the name of your file in the docs list and choose your preferred exporting method. You can download it as a PDF, save it in another format, send it by email, or transfer it to the cloud.
pdfFiller makes dealing with documents a breeze. Create an account to find out!
Uncompromising security for your PDF editing and eSignature needs
Your private information is safe with pdfFiller. We employ end-to-end encryption, secure cloud storage, and advanced access control to protect your documents and maintain regulatory compliance.
How to fill out form h affadavit for

How to fill out form h affadavit for
01
Start by downloading the Form H Affidavit from the official website or acquiring a physical copy from a relevant authority.
02
Read and understand the instructions provided with the form carefully.
03
Fill out your personal details such as your full name, address, contact information, and any other required identification information.
04
Follow the prompts on the form to provide accurate and complete answers to all the questions asked.
05
Attach any supporting documents or evidence that may be required to validate the information provided in the form.
06
Double-check all the information filled in the form to ensure accuracy and correctness.
07
Date and sign the affidavit at the designated area to certify the information provided is true and accurate.
08
Submit the completed Form H Affidavit to the designated authority or follow the prescribed procedure for submission.
Who needs form h affadavit for?
01
Individuals who require legal support or have a pending legal matter may need to fill out Form H Affidavit.
02
The specific instances where Form H Affidavit is needed may vary depending on the jurisdiction and legal requirements.
03
Common examples of individuals who may need Form H Affidavit include those involved in civil litigation, divorce proceedings, probate matters, or property disputes.
04
It is advisable to consult with a legal professional or research the specific legal requirements in your jurisdiction to determine if you or someone you know needs to fill out Form H Affidavit.
Fill
form
: Try Risk Free
For pdfFiller’s FAQs
Below is a list of the most common customer questions. If you can’t find an answer to your question, please don’t hesitate to reach out to us.
Where do I find form h affadavit for?
The pdfFiller premium subscription gives you access to a large library of fillable forms (over 25 million fillable templates) that you can download, fill out, print, and sign. In the library, you'll have no problem discovering state-specific form h affadavit for and other forms. Find the template you want and tweak it with powerful editing tools.
How do I execute form h affadavit for online?
Completing and signing form h affadavit for online is easy with pdfFiller. It enables you to edit original PDF content, highlight, blackout, erase and type text anywhere on a page, legally eSign your form, and much more. Create your free account and manage professional documents on the web.
How do I edit form h affadavit for in Chrome?
form h affadavit for can be edited, filled out, and signed with the pdfFiller Google Chrome Extension. You can open the editor right from a Google search page with just one click. Fillable documents can be done on any web-connected device without leaving Chrome.
What is form h affidavit for?
Form H affidavit is typically used for reporting the specific financial status and compliance of certain individuals or businesses for tax purposes.
Who is required to file form h affidavit for?
Individuals or businesses that meet certain criteria defined by tax regulations, often those involved in specific financial activities or transactions.
How to fill out form h affidavit for?
To fill out Form H affidavit, follow the provided instructions, ensure accurate reporting of required financial information, and include any necessary supporting documentation.
What is the purpose of form h affidavit for?
The purpose of Form H affidavit is to ensure compliance with tax laws and regulations by accurately reporting financial information to the relevant authorities.
What information must be reported on form h affidavit for?
Information typically required includes identification details, financial statements, and specifics about transactions, depending on the jurisdiction's requirements.
Fill out your form h affadavit for online with pdfFiller!
pdfFiller is an end-to-end solution for managing, creating, and editing documents and forms in the cloud. Save time and hassle by preparing your tax forms online.

Form H Affadavit For is not the form you're looking for?Search for another form here.
Relevant keywords
Related Forms
If you believe that this page should be taken down, please follow our DMCA take down process
here
.
This form may include fields for payment information. Data entered in these fields is not covered by PCI DSS compliance.