Form preview

Get the free APPLICATION FOR INDUSTRY TRAINER CERTIFICATE template

Get Form
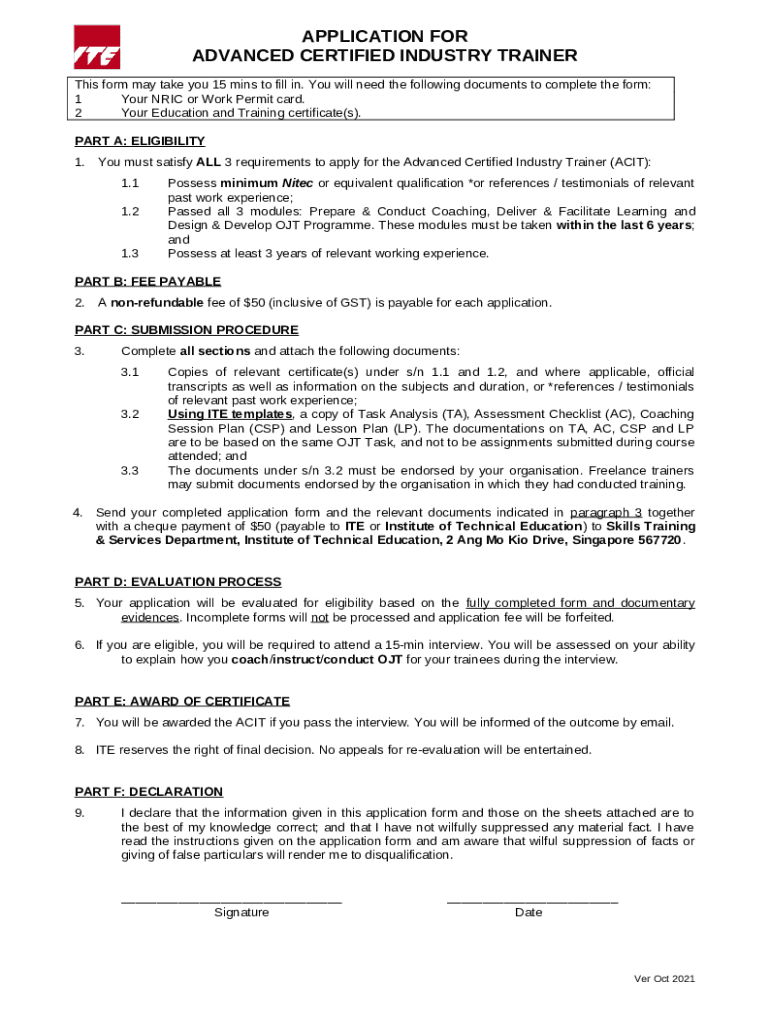
This form may take you 15 mins to fill in. You will need the following documents to complete the form:1 Your NRIC or Work Permit card.2 Your Education and Training certificate(s).PART A: ELIGIBILITY1.
We are not affiliated with any brand or entity on this form

Get, Create, Make and Sign application for industry trainer

Edit
Edit your application for industry trainer form online
Type text, complete fillable fields, insert images, highlight or blackout data for discretion, add comments, and more.
Add
Add your legally-binding signature
Draw or type your signature, upload a signature image, or capture it with your digital camera.
Share
Share your form instantly
Email, fax, or share your application for industry trainer form via URL. You can also download, print, or export forms to your preferred cloud storage service.

How to edit application for industry trainer online

9.5
Ease of Setup
pdfFiller User Ratings on G2
9.0
Ease of Use
pdfFiller User Ratings on G2
To use our professional PDF editor, follow these steps:
1
Log in to account. Click on Start Free Trial and sign up a profile if you don't have one yet.
2
Simply add a document. Select Add New from your Dashboard and import a file into the system by uploading it from your device or importing it via the cloud, online, or internal mail. Then click Begin editing.
3
Edit application for industry trainer. Rearrange and rotate pages, add new and changed texts, add new objects, and use other useful tools. When you're done, click Done. You can use the Documents tab to merge, split, lock, or unlock your files.
4
Save your file. Choose it from the list of records. Then, shift the pointer to the right toolbar and select one of the several exporting methods: save it in multiple formats, download it as a PDF, email it, or save it to the cloud.

Uncompromising security for your PDF editing and eSignature needs

Your private information is safe with pdfFiller. We employ end-to-end encryption, secure cloud storage, and advanced access control to protect your documents and maintain regulatory compliance.
GDPR
AICPA SOC 2
PCI
HIPAA
CCPA
FDA

How to fill out application for industry trainer

Illustration

How to fill out application for industry trainer

01
Read the instructions carefully before starting.
02
Gather all the necessary documents and information.
03
Start by filling out your personal details, such as name, contact information, and address.
04
Provide your educational background, including degrees and certifications relevant to the industry.
05
Describe your work experience in the industry, highlighting any training or mentoring roles.
06
Outline your specific skills and knowledge that make you a qualified industry trainer.
07
Include any additional relevant information, such as professional memberships or publications.
08
Double-check all the information provided and make sure it is accurate.
09
Submit the completed application form along with any required supporting documents.

Who needs application for industry trainer?

01
Individuals aspiring to become industry trainers.
02
Training institutions or organizations seeking to hire industry trainers.
03
Companies looking to provide in-house training for their employees.
04
Industry associations or boards requiring trainers for certification programs.
05
Government agencies involved in vocational training programs.

What is APPLICATION FOR INDUSTRY TRAINER CERTIFICATE Form?

The APPLICATION FOR INDUSTRY TRAINER CERTIFICATE is a document that can be completed and signed for specific needs. In that case, it is provided to the relevant addressee in order to provide certain info of certain kinds. The completion and signing is possible or via an appropriate application e. g. PDFfiller. Such tools help to complete any PDF or Word file without printing them out. It also lets you customize its appearance for your requirements and put an official legal digital signature. Once done, the user sends the APPLICATION FOR INDUSTRY TRAINER CERTIFICATE to the respective recipient or several ones by email and also fax. PDFfiller has got a feature and options that make your document of MS Word extension printable. It offers different options for printing out. It does no matter how you'll send a form after filling it out - in hard copy or by email - it will always look well-designed and organized. To not to create a new file from scratch again and again, make the original document into a template. After that, you will have an editable sample.

APPLICATION FOR INDUSTRY TRAINER CERTIFICATE template instructions

Before start filling out APPLICATION FOR INDUSTRY TRAINER CERTIFICATE MS Word form, remember to have prepared all the necessary information. It is a important part, as far as typos may trigger unpleasant consequences from re-submission of the entire blank and finishing with deadlines missed and you might be charged a penalty fee. You ought to be pretty observative filling out the digits. At a glimpse, you might think of it as to be quite simple. Yet, you can easily make a mistake. Some people use such lifehack as saving their records in a separate document or a record book and then attach this into document's template. Nevertheless, try to make all efforts and present true and correct info in your APPLICATION FOR INDUSTRY TRAINER CERTIFICATE form, and doublecheck it during the process of filling out the required fields. If you find a mistake, you can easily make corrections when working with PDFfiller application and avoid missing deadlines.

How to fill out APPLICATION FOR INDUSTRY TRAINER CERTIFICATE

First thing you need to begin completing APPLICATION FOR INDUSTRY TRAINER CERTIFICATE form is writable template of it. If you complete and file it with the help of PDFfiller, look at the ways listed below how you can get it:

  • Search for the APPLICATION FOR INDUSTRY TRAINER CERTIFICATE from the PDFfiller’s filebase.
  • Upload your own Word template to the editor, if you have it.
  • If there is no the form you need in filebase or your storage space, create it by yourself using the editing and form building features.

Regardless of the choice you prefer, it will be easy to edit the form and add more different items. Nonetheless, if you need a form that contains all fillable fields from the box, you can find it only from the catalogue. Other options are short of this feature, so you need to insert fields yourself. However, it is a dead simple thing and fast to do as well. When you finish it, you will have a handy template to fill out or send to another person by email. The fillable fields are easy to put when you need them in the word file and can be deleted in one click. Each purpose of the fields matches a separate type: for text, for date, for checkmarks. Once you need other users to put their signatures in it, there is a signature field as well. Signing tool makes it possible to put your own autograph. Once everything is completely ready, hit Done. After that, you can share your form.

Fill form : Try Risk Free
Users Most Likely To Recommend - Summer 2025
Grid Leader in Small-Business - Summer 2025
High Performer - Summer 2025
Regional Leader - Summer 2025
Easiest To Do Business With - Summer 2025
Best Meets Requirements- Summer 2025
Rate the form
4.3
Satisfied
45 Votes

For pdfFiller’s FAQs

Below is a list of the most common customer questions. If you can’t find an answer to your question, please don’t hesitate to reach out to us.

The pdfFiller Gmail add-on lets you create, modify, fill out, and sign application for industry trainer and other documents directly in your email. Click here to get pdfFiller for Gmail. Eliminate tedious procedures and handle papers and eSignatures easily.
The editing procedure is simple with pdfFiller. Open your application for industry trainer in the editor, which is quite user-friendly. You may use it to blackout, redact, write, and erase text, add photos, draw arrows and lines, set sticky notes and text boxes, and much more.
You can do so easily with pdfFiller’s applications for iOS and Android devices, which can be found at the Apple Store and Google Play Store, respectively. Alternatively, you can get the app on our web page: https://edit-pdf-ios-android.pdffiller.com/. Install the application, log in, and start editing application for industry trainer right away.
The application for industry trainer is a formal request that individuals or organizations must submit to seek certification or accreditation as a trainer in a specific industry.
Individuals who wish to become certified industry trainers, as well as organizations that provide training in various industries, are required to file this application.
To fill out the application, gather necessary documentation, provide personal details, outline training qualifications, and submit any required supporting materials as specified in the application guidelines.
The purpose of the application is to assess and certify the qualifications of trainers, ensuring that they meet industry standards and are capable of effectively imparting knowledge and skills.
The application typically requires personal identification information, credentials, professional experience, training methodologies, and any relevant certifications or endorsements.
Fill out your application for industry trainer online with pdfFiller!

pdfFiller is an end-to-end solution for managing, creating, and editing documents and forms in the cloud. Save time and hassle by preparing your tax forms online.

Get started now
Form preview
If you believe that this page should be taken down, please follow our DMCA take down process here .
This form may include fields for payment information. Data entered in these fields is not covered by PCI DSS compliance.