Get the free AGEC 105 : Ag Economics - Texas A&M - agecon2 tamu
Show details
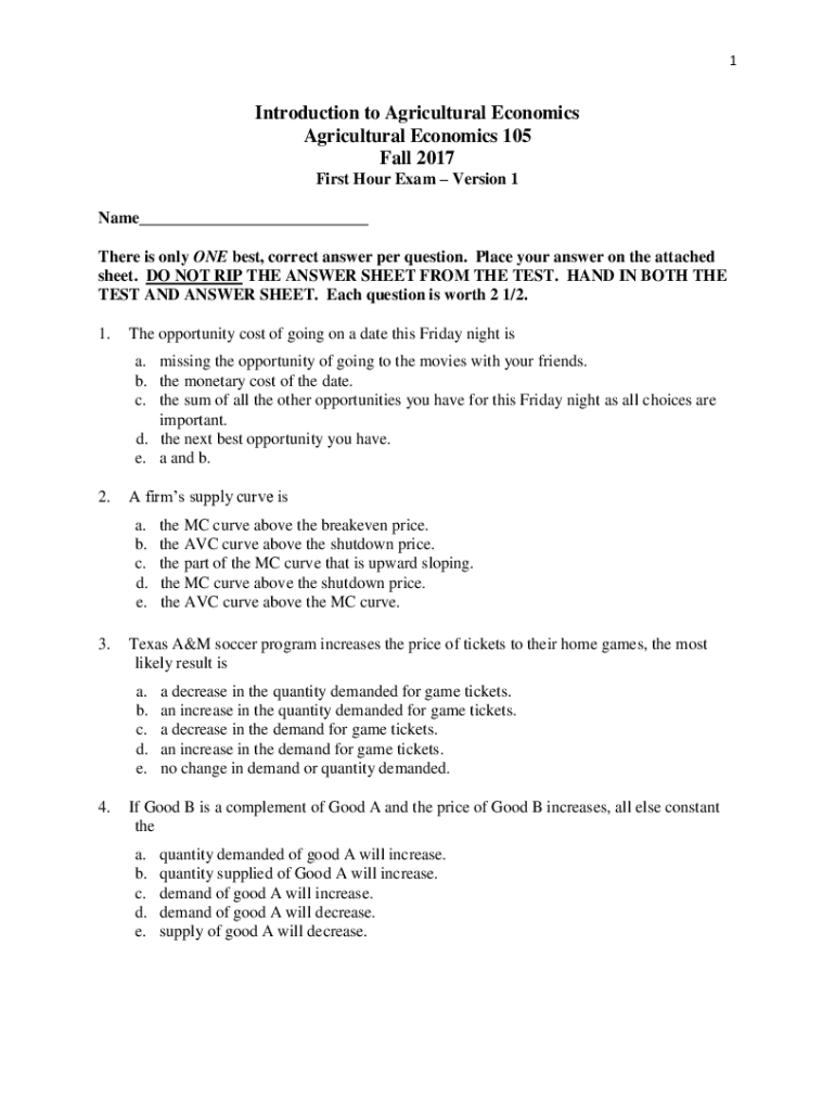
1Introduction to Agricultural Economics Agricultural Economics 105 Fall 2017 First Hour Exam Version 1 Name___ There is only ONE best, correct answer per question. Place your answer on the attached
We are not affiliated with any brand or entity on this form
Get, Create, Make and Sign agec 105 ag economics
Edit your agec 105 ag economics form online
Type text, complete fillable fields, insert images, highlight or blackout data for discretion, add comments, and more.
Add your legally-binding signature
Draw or type your signature, upload a signature image, or capture it with your digital camera.
Share your form instantly
Email, fax, or share your agec 105 ag economics form via URL. You can also download, print, or export forms to your preferred cloud storage service.
Editing agec 105 ag economics online
To use the professional PDF editor, follow these steps:
1
Create an account. Begin by choosing Start Free Trial and, if you are a new user, establish a profile.
2
Upload a document. Select Add New on your Dashboard and transfer a file into the system in one of the following ways: by uploading it from your device or importing from the cloud, web, or internal mail. Then, click Start editing.
3
Edit agec 105 ag economics. Add and change text, add new objects, move pages, add watermarks and page numbers, and more. Then click Done when you're done editing and go to the Documents tab to merge or split the file. If you want to lock or unlock the file, click the lock or unlock button.
4
Get your file. Select your file from the documents list and pick your export method. You may save it as a PDF, email it, or upload it to the cloud.
The use of pdfFiller makes dealing with documents straightforward. Now is the time to try it!
Uncompromising security for your PDF editing and eSignature needs
Your private information is safe with pdfFiller. We employ end-to-end encryption, secure cloud storage, and advanced access control to protect your documents and maintain regulatory compliance.
How to fill out agec 105 ag economics
How to fill out agec 105 ag economics
01
Step 1: Collect all necessary documents and information needed to fill out the AGEc 105 AG Economics form.
02
Step 2: Start by providing personal information such as your name, address, and contact details.
03
Step 3: Fill out the educational background section, including your previous school, degree earned, and major.
04
Step 4: Provide information about any previous experience or coursework related to agricultural economics.
05
Step 5: Fill out the course section, indicating the specific AG Economics courses you are interested in taking.
06
Step 6: Review the form for any errors or missing information before submitting it.
07
Step 7: Submit the completed AGEc 105 AG Economics form to the appropriate department or institution.
Who needs agec 105 ag economics?
01
Students pursuing a degree or coursework in agricultural economics.
02
Individuals interested in studying the economic aspects of agriculture and food systems.
03
Professionals working in agricultural industries seeking to expand their knowledge in economics.
Fill
form
: Try Risk Free
For pdfFiller’s FAQs
Below is a list of the most common customer questions. If you can’t find an answer to your question, please don’t hesitate to reach out to us.
How do I complete agec 105 ag economics online?
pdfFiller has made filling out and eSigning agec 105 ag economics easy. The solution is equipped with a set of features that enable you to edit and rearrange PDF content, add fillable fields, and eSign the document. Start a free trial to explore all the capabilities of pdfFiller, the ultimate document editing solution.
How do I edit agec 105 ag economics online?
With pdfFiller, the editing process is straightforward. Open your agec 105 ag economics in the editor, which is highly intuitive and easy to use. There, you’ll be able to blackout, redact, type, and erase text, add images, draw arrows and lines, place sticky notes and text boxes, and much more.
How can I edit agec 105 ag economics on a smartphone?
The best way to make changes to documents on a mobile device is to use pdfFiller's apps for iOS and Android. You may get them from the Apple Store and Google Play. Learn more about the apps here. To start editing agec 105 ag economics, you need to install and log in to the app.
What is agec 105 ag economics?
AGEC 105 ag economics is a course that covers economic principles and practices related to agriculture.
Who is required to file agec 105 ag economics?
Students who are enrolled in the AGEC 105 ag economics course are required to complete and file assignments related to the course.
How to fill out agec 105 ag economics?
Students must follow the instructions provided by the course instructor to fill out the assignments and reports for AGEC 105 ag economics.
What is the purpose of agec 105 ag economics?
The purpose of AGEC 105 ag economics is to help students understand economic concepts and how they apply to the agriculture industry.
What information must be reported on agec 105 ag economics?
Students may be required to report on various topics including supply and demand, pricing, and market trends in the agricultural sector.
Fill out your agec 105 ag economics online with pdfFiller!
pdfFiller is an end-to-end solution for managing, creating, and editing documents and forms in the cloud. Save time and hassle by preparing your tax forms online.
Agec 105 Ag Economics is not the form you're looking for?Search for another form here.
Relevant keywords
Related Forms
If you believe that this page should be taken down, please follow our DMCA take down process
here
.
This form may include fields for payment information. Data entered in these fields is not covered by PCI DSS compliance.