Get the free buying secrecy: non-disclosure agreements, arbitration, ...
Show details
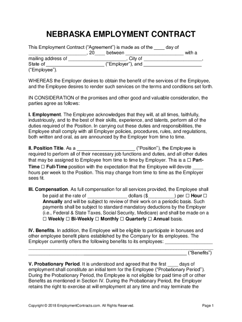
NEBRASKA EMPLOYMENT CONTRACT This Employment Contract (Agreement) is made as of the ___ day of ___, 20___ between ___ with a mailing address of ___, City of ___, State of ___ (Employer), and ___ (Employee).
We are not affiliated with any brand or entity on this form
Get, Create, Make and Sign buying secrecy non-disclosure agreements
Edit your buying secrecy non-disclosure agreements form online
Type text, complete fillable fields, insert images, highlight or blackout data for discretion, add comments, and more.
Add your legally-binding signature
Draw or type your signature, upload a signature image, or capture it with your digital camera.
Share your form instantly
Email, fax, or share your buying secrecy non-disclosure agreements form via URL. You can also download, print, or export forms to your preferred cloud storage service.
How to edit buying secrecy non-disclosure agreements online
Follow the steps below to use a professional PDF editor:
1
Set up an account. If you are a new user, click Start Free Trial and establish a profile.
2
Simply add a document. Select Add New from your Dashboard and import a file into the system by uploading it from your device or importing it via the cloud, online, or internal mail. Then click Begin editing.
3
Edit buying secrecy non-disclosure agreements. Rearrange and rotate pages, add new and changed texts, add new objects, and use other useful tools. When you're done, click Done. You can use the Documents tab to merge, split, lock, or unlock your files.
4
Get your file. When you find your file in the docs list, click on its name and choose how you want to save it. To get the PDF, you can save it, send an email with it, or move it to the cloud.
It's easier to work with documents with pdfFiller than you can have believed. You can sign up for an account to see for yourself.
Uncompromising security for your PDF editing and eSignature needs
Your private information is safe with pdfFiller. We employ end-to-end encryption, secure cloud storage, and advanced access control to protect your documents and maintain regulatory compliance.
How to fill out buying secrecy non-disclosure agreements
How to fill out buying secrecy non-disclosure agreements
01
Gather all necessary information about the parties involved in the agreement.
02
Clearly outline the scope of the confidentiality agreement and what information is to be kept confidential.
03
Include clauses about the consequences of breaching the agreement and any exceptions to confidentiality.
04
Specify the duration of the confidentiality agreement and when it will expire.
05
Have all parties involved review and sign the agreement to indicate their understanding and acceptance of the terms.
Who needs buying secrecy non-disclosure agreements?
01
Any individual or organization involved in a business transaction where sensitive information such as pricing, customer lists, or trade secrets need to be kept confidential.
Fill
form
: Try Risk Free
For pdfFiller’s FAQs
Below is a list of the most common customer questions. If you can’t find an answer to your question, please don’t hesitate to reach out to us.
How do I modify my buying secrecy non-disclosure agreements in Gmail?
You may use pdfFiller's Gmail add-on to change, fill out, and eSign your buying secrecy non-disclosure agreements as well as other documents directly in your inbox by using the pdfFiller add-on for Gmail. pdfFiller for Gmail may be found on the Google Workspace Marketplace. Use the time you would have spent dealing with your papers and eSignatures for more vital tasks instead.
How do I execute buying secrecy non-disclosure agreements online?
Easy online buying secrecy non-disclosure agreements completion using pdfFiller. Also, it allows you to legally eSign your form and change original PDF material. Create a free account and manage documents online.
Can I create an eSignature for the buying secrecy non-disclosure agreements in Gmail?
When you use pdfFiller's add-on for Gmail, you can add or type a signature. You can also draw a signature. pdfFiller lets you eSign your buying secrecy non-disclosure agreements and other documents right from your email. In order to keep signed documents and your own signatures, you need to sign up for an account.
What is buying secrecy non-disclosure agreements?
Buying secrecy non-disclosure agreements (NDAs) are legal contracts that protect confidential information shared between parties during negotiations, such as the buying of a business or asset.
Who is required to file buying secrecy non-disclosure agreements?
Typically, parties involved in a transaction where sensitive information is exchanged are required to file buying secrecy non-disclosure agreements, including buyers, sellers, and sometimes intermediaries.
How to fill out buying secrecy non-disclosure agreements?
To fill out a buying secrecy non-disclosure agreement, parties should provide their names and addresses, specify the confidential information to be protected, outline the purpose of the disclosure, and include any restrictions on the use of the information.
What is the purpose of buying secrecy non-disclosure agreements?
The purpose of buying secrecy non-disclosure agreements is to legally protect sensitive information from being disclosed to third parties, ensuring that proprietary or confidential information remains private during business negotiations.
What information must be reported on buying secrecy non-disclosure agreements?
Information that must be reported on buying secrecy non-disclosure agreements includes a description of the confidential information, the obligations of the parties regarding the information, and any exclusions from confidentiality.
Fill out your buying secrecy non-disclosure agreements online with pdfFiller!
pdfFiller is an end-to-end solution for managing, creating, and editing documents and forms in the cloud. Save time and hassle by preparing your tax forms online.
Buying Secrecy Non-Disclosure Agreements is not the form you're looking for?Search for another form here.
Relevant keywords
Related Forms
If you believe that this page should be taken down, please follow our DMCA take down process
here
.
This form may include fields for payment information. Data entered in these fields is not covered by PCI DSS compliance.