
Get the free The spirituality of Louis & Zlie - Sanctuary of Lisieux
Show details
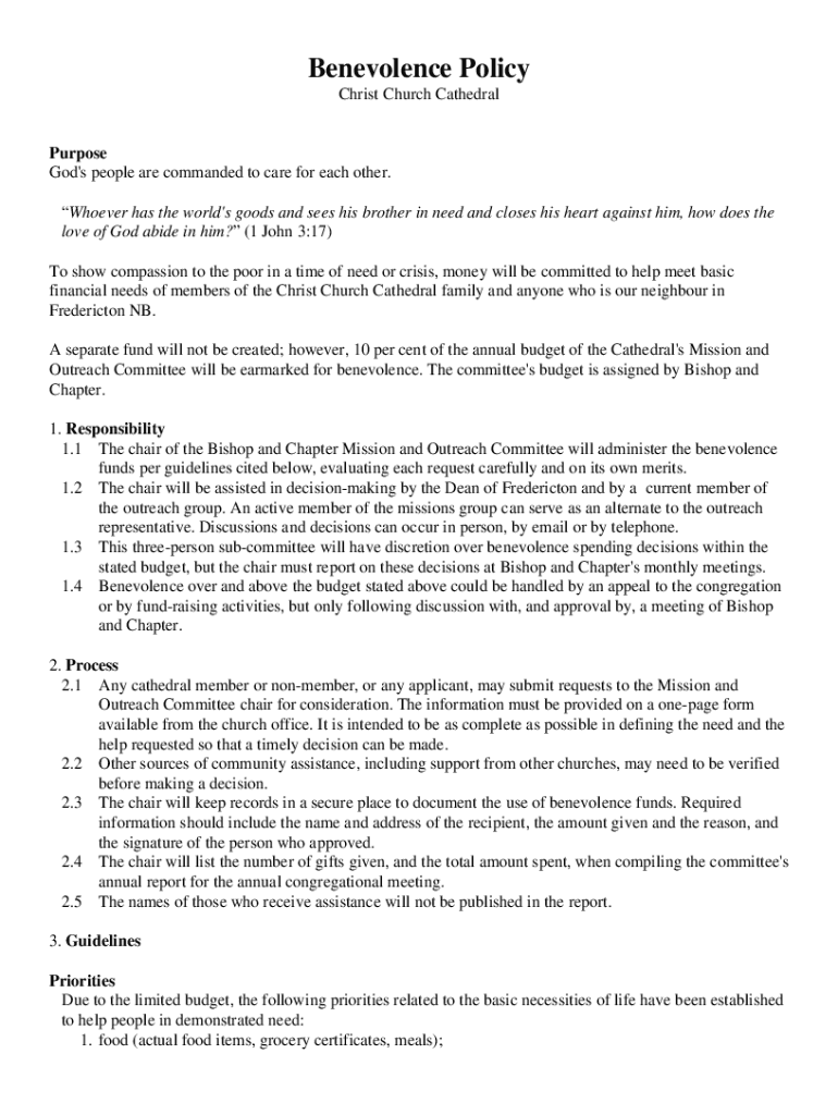
Benevolence Policy Christ Church CathedralPurpose God\'s people are commanded to care for each other. Whoever has the world\'s goods and sees his brother in need and closes his heart against him,
We are not affiliated with any brand or entity on this form
Get, Create, Make and Sign form spirituality of louis

Edit your form spirituality of louis form online
Type text, complete fillable fields, insert images, highlight or blackout data for discretion, add comments, and more.

Add your legally-binding signature
Draw or type your signature, upload a signature image, or capture it with your digital camera.

Share your form instantly
Email, fax, or share your form spirituality of louis form via URL. You can also download, print, or export forms to your preferred cloud storage service.
Editing form spirituality of louis online
To use our professional PDF editor, follow these steps:
1
Register the account. Begin by clicking Start Free Trial and create a profile if you are a new user.
2
Prepare a file. Use the Add New button. Then upload your file to the system from your device, importing it from internal mail, the cloud, or by adding its URL.
3
Edit form spirituality of louis. Replace text, adding objects, rearranging pages, and more. Then select the Documents tab to combine, divide, lock or unlock the file.
4
Save your file. Choose it from the list of records. Then, shift the pointer to the right toolbar and select one of the several exporting methods: save it in multiple formats, download it as a PDF, email it, or save it to the cloud.
It's easier to work with documents with pdfFiller than you can have believed. Sign up for a free account to view.
Uncompromising security for your PDF editing and eSignature needs
Your private information is safe with pdfFiller. We employ end-to-end encryption, secure cloud storage, and advanced access control to protect your documents and maintain regulatory compliance.
How to fill out form spirituality of louis

How to fill out form spirituality of louis
01
Start by obtaining the form spirituality of Louis.
02
Read through the instructions on the form carefully.
03
Fill out the form accurately and truthfully.
04
Double-check all information filled in the form for any errors.
05
Submit the completed form to the appropriate recipient.
Who needs form spirituality of louis?
01
Individuals who are interested in exploring their spirituality or seeking guidance in their spiritual journey may need the form spirituality of Louis.
Fill
form
: Try Risk Free
For pdfFiller’s FAQs
Below is a list of the most common customer questions. If you can’t find an answer to your question, please don’t hesitate to reach out to us.
How do I complete form spirituality of louis online?
Filling out and eSigning form spirituality of louis is now simple. The solution allows you to change and reorganize PDF text, add fillable fields, and eSign the document. Start a free trial of pdfFiller, the best document editing solution.
How do I edit form spirituality of louis online?
pdfFiller not only allows you to edit the content of your files but fully rearrange them by changing the number and sequence of pages. Upload your form spirituality of louis to the editor and make any required adjustments in a couple of clicks. The editor enables you to blackout, type, and erase text in PDFs, add images, sticky notes and text boxes, and much more.
How do I complete form spirituality of louis on an iOS device?
Get and install the pdfFiller application for iOS. Next, open the app and log in or create an account to get access to all of the solution’s editing features. To open your form spirituality of louis, upload it from your device or cloud storage, or enter the document URL. After you complete all of the required fields within the document and eSign it (if that is needed), you can save it or share it with others.
What is form spirituality of louis?
Form Spirituality of Louis is a form that collects information about an individual's spiritual practices and beliefs.
Who is required to file form spirituality of louis?
Individuals who wish to share information about their spirituality and its impact on their life are required to file form Spirituality of Louis.
How to fill out form spirituality of louis?
Form Spirituality of Louis can be filled out by providing detailed information about one's spiritual practices, beliefs, and experiences.
What is the purpose of form spirituality of louis?
The purpose of form Spirituality of Louis is to understand how spirituality plays a role in an individual's life and well-being.
What information must be reported on form spirituality of louis?
Information such as religious practices, beliefs, spiritual experiences, and the impact of spirituality on daily life must be reported on form Spirituality of Louis.
Fill out your form spirituality of louis online with pdfFiller!
pdfFiller is an end-to-end solution for managing, creating, and editing documents and forms in the cloud. Save time and hassle by preparing your tax forms online.

Form Spirituality Of Louis is not the form you're looking for?Search for another form here.
Relevant keywords
Related Forms
If you believe that this page should be taken down, please follow our DMCA take down process
here
.
This form may include fields for payment information. Data entered in these fields is not covered by PCI DSS compliance.