Get the free Solved: Placement of Grid Zone Designation Label in a layo...
Show details
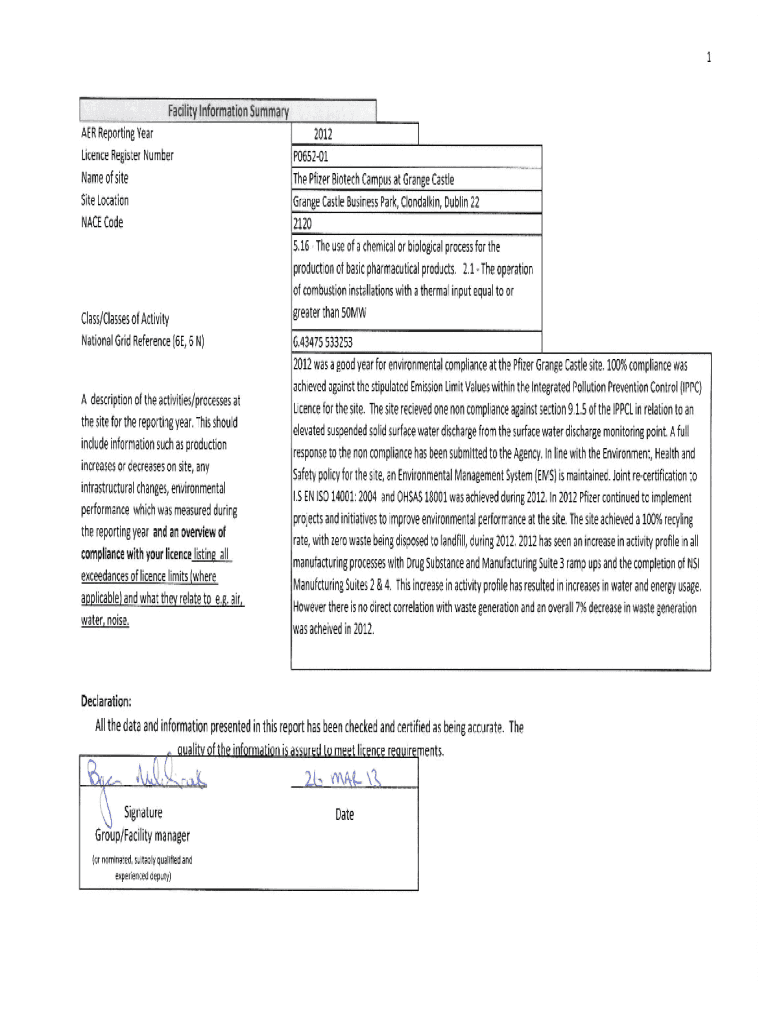
3FacilityInformationSummary
AERReportingYear
LicenceRegisterNumber
Nameofsite
Relocation
NACECodeClass/ClassesofActivity
NationalGridReference(6E,6 N)
Adescriptionoftheactivities/processes at
thesiteforthereportingyear.
We are not affiliated with any brand or entity on this form
Get, Create, Make and Sign solved placement of grid
Edit your solved placement of grid form online
Type text, complete fillable fields, insert images, highlight or blackout data for discretion, add comments, and more.
Add your legally-binding signature
Draw or type your signature, upload a signature image, or capture it with your digital camera.
Share your form instantly
Email, fax, or share your solved placement of grid form via URL. You can also download, print, or export forms to your preferred cloud storage service.
Editing solved placement of grid online
To use the professional PDF editor, follow these steps below:
1
Register the account. Begin by clicking Start Free Trial and create a profile if you are a new user.
2
Prepare a file. Use the Add New button to start a new project. Then, using your device, upload your file to the system by importing it from internal mail, the cloud, or adding its URL.
3
Edit solved placement of grid. Rearrange and rotate pages, add new and changed texts, add new objects, and use other useful tools. When you're done, click Done. You can use the Documents tab to merge, split, lock, or unlock your files.
4
Get your file. Select your file from the documents list and pick your export method. You may save it as a PDF, email it, or upload it to the cloud.
Uncompromising security for your PDF editing and eSignature needs
Your private information is safe with pdfFiller. We employ end-to-end encryption, secure cloud storage, and advanced access control to protect your documents and maintain regulatory compliance.
How to fill out solved placement of grid
How to fill out solved placement of grid
01
Start by identifying the empty cells in the placement of the grid.
02
Determine the number of digits that can be filled in each row, column, and block without violating the placement rules.
03
Use logic and deduction to fill in the digits in the empty cells one by one, making sure that no digit is repeated in any row, column, or block.
04
If you encounter a situation where multiple digits can be placed in a single cell, use trial and error method to test and eliminate possibilities until a valid digit is found.
05
Repeat steps 3 and 4 until all the empty cells are filled with valid digits.
06
Finally, double-check the entire placement to ensure that it follows all the rules of the game.
Who needs solved placement of grid?
01
Sudoku enthusiasts who enjoy solving puzzles and want a challenge.
02
People who want to improve their logical thinking and problem-solving skills.
03
Individuals who find the process of solving Sudoku puzzles relaxing and enjoyable.
04
Anyone looking for a fun and engaging activity to pass the time.
Fill
form
: Try Risk Free
For pdfFiller’s FAQs
Below is a list of the most common customer questions. If you can’t find an answer to your question, please don’t hesitate to reach out to us.
How can I manage my solved placement of grid directly from Gmail?
You can use pdfFiller’s add-on for Gmail in order to modify, fill out, and eSign your solved placement of grid along with other documents right in your inbox. Find pdfFiller for Gmail in Google Workspace Marketplace. Use time you spend on handling your documents and eSignatures for more important things.
How can I modify solved placement of grid without leaving Google Drive?
By combining pdfFiller with Google Docs, you can generate fillable forms directly in Google Drive. No need to leave Google Drive to make edits or sign documents, including solved placement of grid. Use pdfFiller's features in Google Drive to handle documents on any internet-connected device.
How do I make edits in solved placement of grid without leaving Chrome?
Download and install the pdfFiller Google Chrome Extension to your browser to edit, fill out, and eSign your solved placement of grid, which you can open in the editor with a single click from a Google search page. Fillable documents may be executed from any internet-connected device without leaving Chrome.
What is solved placement of grid?
Solved placement of grid refers to a structured system used to allocate and document the placement of resources or components in a grid format, typically for analyzing or reporting purposes.
Who is required to file solved placement of grid?
Entities or organizations that utilize a grid system for resource allocation or management are generally required to file a solved placement of grid.
How to fill out solved placement of grid?
To fill out a solved placement of grid, enter the specific details of each resource or component in the designated grid sections, ensuring that all required fields are accurately completed.
What is the purpose of solved placement of grid?
The purpose of solved placement of grid is to provide a clear and organized representation of how resources are distributed across a grid system, facilitating analysis and reporting.
What information must be reported on solved placement of grid?
Information that must be reported includes the identifiers of resources, their specific placements, details on allocation amounts, and any relevant metrics or observations.
Fill out your solved placement of grid online with pdfFiller!
pdfFiller is an end-to-end solution for managing, creating, and editing documents and forms in the cloud. Save time and hassle by preparing your tax forms online.
Solved Placement Of Grid is not the form you're looking for?Search for another form here.
Relevant keywords
Related Forms
If you believe that this page should be taken down, please follow our DMCA take down process
here
.
This form may include fields for payment information. Data entered in these fields is not covered by PCI DSS compliance.