Get the free Ascot Conference Centre
Show details
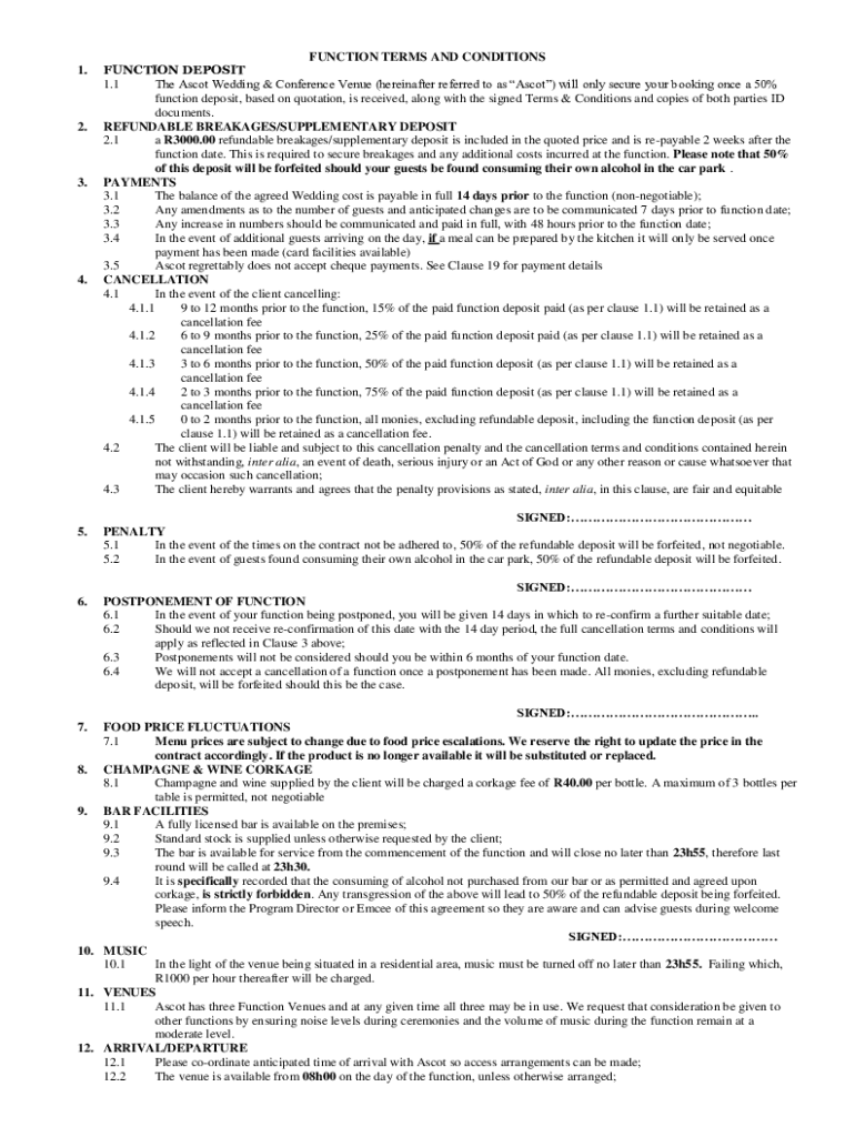
1.2.3.4.5.6.FUNCTION TERMS AND CONDITIONS FUNCTION DEPOSIT 1.1 The Ascot Wedding & Conference Venue (hereinafter referred to as Ascot) will only secure your booking once a 50% function deposit, based
We are not affiliated with any brand or entity on this form
Get, Create, Make and Sign ascot conference centre
Edit your ascot conference centre form online
Type text, complete fillable fields, insert images, highlight or blackout data for discretion, add comments, and more.
Add your legally-binding signature
Draw or type your signature, upload a signature image, or capture it with your digital camera.
Share your form instantly
Email, fax, or share your ascot conference centre form via URL. You can also download, print, or export forms to your preferred cloud storage service.
How to edit ascot conference centre online
Follow the steps down below to benefit from the PDF editor's expertise:
1
Log in. Click Start Free Trial and create a profile if necessary.
2
Prepare a file. Use the Add New button. Then upload your file to the system from your device, importing it from internal mail, the cloud, or by adding its URL.
3
Edit ascot conference centre. Rearrange and rotate pages, add new and changed texts, add new objects, and use other useful tools. When you're done, click Done. You can use the Documents tab to merge, split, lock, or unlock your files.
4
Get your file. When you find your file in the docs list, click on its name and choose how you want to save it. To get the PDF, you can save it, send an email with it, or move it to the cloud.
With pdfFiller, dealing with documents is always straightforward.
Uncompromising security for your PDF editing and eSignature needs
Your private information is safe with pdfFiller. We employ end-to-end encryption, secure cloud storage, and advanced access control to protect your documents and maintain regulatory compliance.
How to fill out ascot conference centre
How to fill out ascot conference centre
01
To fill out Ascot Conference Centre, follow these points:
02
Start by entering your full name in the 'Name' field.
03
Enter your job title or designation in the 'Job Title' field.
04
Provide your company's name in the 'Company' field.
05
Enter your contact details like phone number and email address in the respective fields.
06
Specify the date and time of your event or conference in the 'Schedule' field.
07
Select the required amenities and facilities from the checklist provided.
08
Provide any additional details or special requests in the 'Additional Comments' section, if necessary.
09
Once you have filled out all the required information, review your entries to ensure accuracy.
10
Finally, click on the 'Submit' button to send your request for booking the Ascot Conference Centre.
Who needs ascot conference centre?
01
Ascot Conference Centre is ideal for individuals, organizations, and businesses who are looking for a professional and well-equipped venue to host conferences, meetings, seminars, workshops, or any other corporate or educational events.
02
It is also suitable for event planners, training coordinators, and anyone responsible for organizing large-scale gatherings or conferences.
03
The centre can accommodate various group sizes and offers state-of-the-art facilities, making it the perfect choice for those seeking a convenient and sophisticated conference venue.
Fill
form
: Try Risk Free
For pdfFiller’s FAQs
Below is a list of the most common customer questions. If you can’t find an answer to your question, please don’t hesitate to reach out to us.
Can I create an electronic signature for signing my ascot conference centre in Gmail?
You can easily create your eSignature with pdfFiller and then eSign your ascot conference centre directly from your inbox with the help of pdfFiller’s add-on for Gmail. Please note that you must register for an account in order to save your signatures and signed documents.
How do I fill out ascot conference centre using my mobile device?
Use the pdfFiller mobile app to fill out and sign ascot conference centre. Visit our website (https://edit-pdf-ios-android.pdffiller.com/) to learn more about our mobile applications, their features, and how to get started.
How do I complete ascot conference centre on an iOS device?
Install the pdfFiller app on your iOS device to fill out papers. If you have a subscription to the service, create an account or log in to an existing one. After completing the registration process, upload your ascot conference centre. You may now use pdfFiller's advanced features, such as adding fillable fields and eSigning documents, and accessing them from any device, wherever you are.
What is ascot conference centre?
The Ascot Conference Centre is a venue designed for hosting conferences, meetings, and events, equipped with necessary facilities and resources.
Who is required to file ascot conference centre?
Individuals or organizations hosting events at the Ascot Conference Centre may be required to file specific documentation pertaining to their events.
How to fill out ascot conference centre?
To fill out the necessary forms for the Ascot Conference Centre, one should gather event details, complete the required sections accurately, and submit any supporting documents.
What is the purpose of ascot conference centre?
The purpose of the Ascot Conference Centre is to provide a suitable environment for professional gatherings, facilitating networking, collaboration, and knowledge sharing.
What information must be reported on ascot conference centre?
Reports for the Ascot Conference Centre typically require information such as event dates, attendee numbers, and specific event requirements.
Fill out your ascot conference centre online with pdfFiller!
pdfFiller is an end-to-end solution for managing, creating, and editing documents and forms in the cloud. Save time and hassle by preparing your tax forms online.
Ascot Conference Centre is not the form you're looking for?Search for another form here.
Relevant keywords
Related Forms
If you believe that this page should be taken down, please follow our DMCA take down process
here
.
This form may include fields for payment information. Data entered in these fields is not covered by PCI DSS compliance.