Get the free Momentum Pension Preservation Fund (FSCA Reg. No. 12 ...
Show details
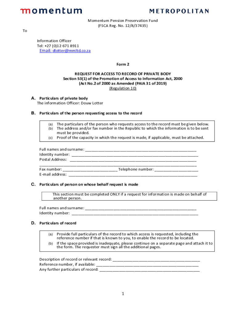
Momentum Pension Preservation Fund (FSA Reg. No. 12/8/37435) To Information Officer Tel: +27 (0)12 671 8911 Email: dlotter@mmltd.co.za Form 2 REQUEST FOR ACCESS TO RECORD OF PRIVATE BODY Section 53(1)
We are not affiliated with any brand or entity on this form
Get, Create, Make and Sign momentum pension preservation fund
Edit your momentum pension preservation fund form online
Type text, complete fillable fields, insert images, highlight or blackout data for discretion, add comments, and more.
Add your legally-binding signature
Draw or type your signature, upload a signature image, or capture it with your digital camera.
Share your form instantly
Email, fax, or share your momentum pension preservation fund form via URL. You can also download, print, or export forms to your preferred cloud storage service.
Editing momentum pension preservation fund online
Follow the steps down below to benefit from a competent PDF editor:
1
Register the account. Begin by clicking Start Free Trial and create a profile if you are a new user.
2
Prepare a file. Use the Add New button. Then upload your file to the system from your device, importing it from internal mail, the cloud, or by adding its URL.
3
Edit momentum pension preservation fund. Rearrange and rotate pages, add new and changed texts, add new objects, and use other useful tools. When you're done, click Done. You can use the Documents tab to merge, split, lock, or unlock your files.
4
Save your file. Select it from your list of records. Then, move your cursor to the right toolbar and choose one of the exporting options. You can save it in multiple formats, download it as a PDF, send it by email, or store it in the cloud, among other things.
It's easier to work with documents with pdfFiller than you could have believed. You may try it out for yourself by signing up for an account.
Uncompromising security for your PDF editing and eSignature needs
Your private information is safe with pdfFiller. We employ end-to-end encryption, secure cloud storage, and advanced access control to protect your documents and maintain regulatory compliance.
How to fill out momentum pension preservation fund
How to fill out momentum pension preservation fund
01
Gather all the required documents such as your identity document, proof of retirement fund membership, and banking details.
02
Contact the Momentum Pension Preservation Fund to request the necessary forms or download them from their website.
03
Complete the forms by providing accurate and up-to-date information.
04
Attach all the required documents to the completed forms.
05
Submit the forms and supporting documents either by mail or in person to the designated address provided by the Momentum Pension Preservation Fund.
06
Wait for confirmation and notification from the fund regarding the successful preservation of your pension.
07
Keep a record of all the documents and communications for future reference.
Who needs momentum pension preservation fund?
01
Anyone who wishes to preserve their pension savings after leaving employment or transferring from one pension fund to another can benefit from the Momentum Pension Preservation Fund.
02
It is especially useful for individuals who want to maintain their retirement savings and avoid any immediate tax implications or penalties that may occur by cashing out their pension.
Fill
form
: Try Risk Free
For pdfFiller’s FAQs
Below is a list of the most common customer questions. If you can’t find an answer to your question, please don’t hesitate to reach out to us.
How can I send momentum pension preservation fund for eSignature?
Once your momentum pension preservation fund is complete, you can securely share it with recipients and gather eSignatures with pdfFiller in just a few clicks. You may transmit a PDF by email, text message, fax, USPS mail, or online notarization directly from your account. Make an account right now and give it a go.
Can I edit momentum pension preservation fund on an iOS device?
Create, modify, and share momentum pension preservation fund using the pdfFiller iOS app. Easy to install from the Apple Store. You may sign up for a free trial and then purchase a membership.
Can I edit momentum pension preservation fund on an Android device?
You can edit, sign, and distribute momentum pension preservation fund on your mobile device from anywhere using the pdfFiller mobile app for Android; all you need is an internet connection. Download the app and begin streamlining your document workflow from anywhere.
What is momentum pension preservation fund?
The Momentum Pension Preservation Fund is a retirement savings vehicle in South Africa designed to preserve retirement savings when members switch funds or leave their employer.
Who is required to file momentum pension preservation fund?
Individuals who wish to transfer their pension benefits to a Pension Preservation Fund or those managing their pension assets are required to file.
How to fill out momentum pension preservation fund?
To fill out the Momentum Pension Preservation Fund application, individuals need to provide personal information, existing pension fund details, and select the desired investment options.
What is the purpose of momentum pension preservation fund?
The purpose of the Momentum Pension Preservation Fund is to allow individuals to preserve their retirement savings while benefiting from continued investment growth.
What information must be reported on momentum pension preservation fund?
The information that must be reported includes personal identification details, financial history, existing pension fund information, and any beneficiary details.
Fill out your momentum pension preservation fund online with pdfFiller!
pdfFiller is an end-to-end solution for managing, creating, and editing documents and forms in the cloud. Save time and hassle by preparing your tax forms online.
Momentum Pension Preservation Fund is not the form you're looking for?Search for another form here.
Relevant keywords
Related Forms
If you believe that this page should be taken down, please follow our DMCA take down process
here
.
This form may include fields for payment information. Data entered in these fields is not covered by PCI DSS compliance.