
Get the free Kitchen Manager Job Code: 143020
Show details
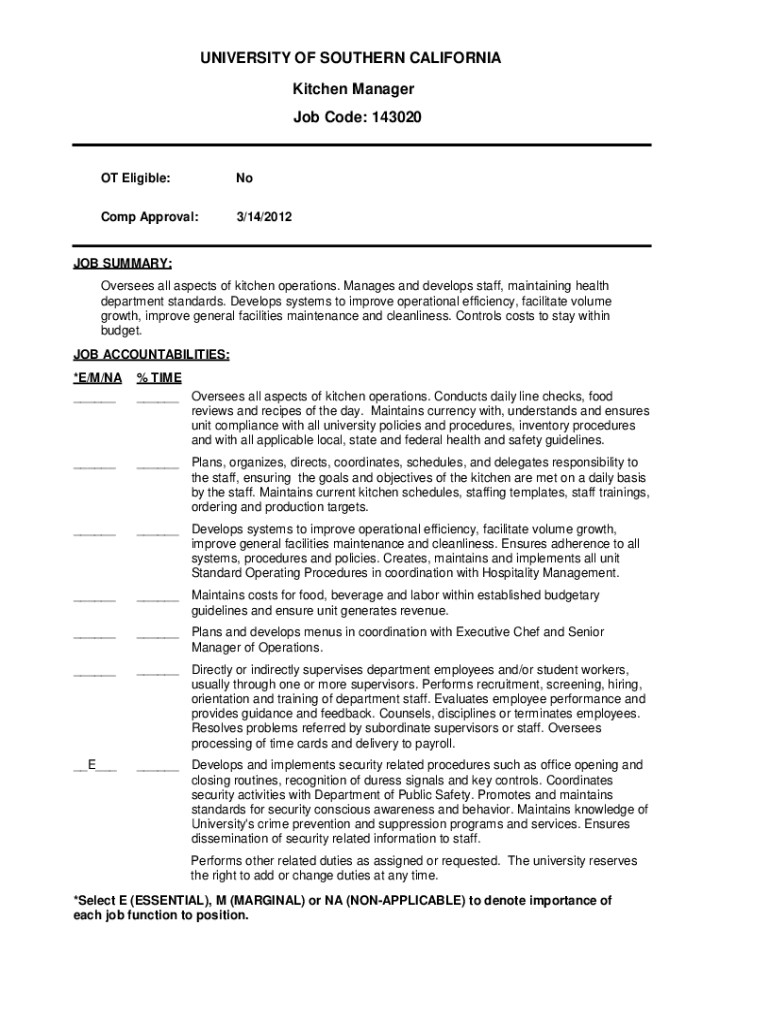
UNIVERSITY OF SOUTHERN CALIFORNIA Kitchen Manager Job Code: 143020OT Eligible:NoComp Approval:3/14/2012JOB SUMMARY: Oversees all aspects of kitchen operations. Manages and develops staff, maintaining
We are not affiliated with any brand or entity on this form
Get, Create, Make and Sign kitchen manager job code

Edit your kitchen manager job code form online
Type text, complete fillable fields, insert images, highlight or blackout data for discretion, add comments, and more.

Add your legally-binding signature
Draw or type your signature, upload a signature image, or capture it with your digital camera.

Share your form instantly
Email, fax, or share your kitchen manager job code form via URL. You can also download, print, or export forms to your preferred cloud storage service.
Editing kitchen manager job code online
In order to make advantage of the professional PDF editor, follow these steps below:
1
Register the account. Begin by clicking Start Free Trial and create a profile if you are a new user.
2
Prepare a file. Use the Add New button. Then upload your file to the system from your device, importing it from internal mail, the cloud, or by adding its URL.
3
Edit kitchen manager job code. Add and replace text, insert new objects, rearrange pages, add watermarks and page numbers, and more. Click Done when you are finished editing and go to the Documents tab to merge, split, lock or unlock the file.
4
Save your file. Select it from your list of records. Then, move your cursor to the right toolbar and choose one of the exporting options. You can save it in multiple formats, download it as a PDF, send it by email, or store it in the cloud, among other things.
pdfFiller makes dealing with documents a breeze. Create an account to find out!
Uncompromising security for your PDF editing and eSignature needs
Your private information is safe with pdfFiller. We employ end-to-end encryption, secure cloud storage, and advanced access control to protect your documents and maintain regulatory compliance.
How to fill out kitchen manager job code

How to fill out kitchen manager job code
01
To fill out a kitchen manager job code, follow these steps:
1. Begin by reviewing the job description for the kitchen manager position to understand the responsibilities and qualifications required.
02
Write a brief and engaging job title that accurately represents the role, such as 'Kitchen Manager'.
03
Include a clear and concise job summary that highlights the key duties and objectives of the position.
04
Provide a detailed list of responsibilities, such as managing kitchen operations, overseeing food preparation, ensuring health and safety regulations are followed, and maintaining inventory.
05
Specify the required qualifications and skills, such as previous experience in a similar role, knowledge of food safety standards, and leadership abilities.
06
Include any additional preferred qualifications, such as culinary certifications or knowledge of specific cuisines.
07
Specify the work schedule, including any shifts or weekends that may be required.
08
Highlight any benefits or perks offered, such as competitive salary, health insurance, or employee discounts.
09
Specify the application process and deadline, including the contact information for submitting resumes or applications.
10
Proofread the job code for any errors or inconsistencies before finalizing it.
Who needs kitchen manager job code?
01
Restaurants, food service establishments, catering companies, hotel kitchens, and other food-related businesses that require effective management of their kitchen operations need a kitchen manager job code. This job code is typically used by HR departments, hiring managers, or recruiters to attract qualified candidates for the position.
Fill
form
: Try Risk Free
For pdfFiller’s FAQs
Below is a list of the most common customer questions. If you can’t find an answer to your question, please don’t hesitate to reach out to us.
How can I modify kitchen manager job code without leaving Google Drive?
pdfFiller and Google Docs can be used together to make your documents easier to work with and to make fillable forms right in your Google Drive. The integration will let you make, change, and sign documents, like kitchen manager job code, without leaving Google Drive. Add pdfFiller's features to Google Drive, and you'll be able to do more with your paperwork on any internet-connected device.
How do I edit kitchen manager job code online?
The editing procedure is simple with pdfFiller. Open your kitchen manager job code in the editor, which is quite user-friendly. You may use it to blackout, redact, write, and erase text, add photos, draw arrows and lines, set sticky notes and text boxes, and much more.
How do I fill out kitchen manager job code on an Android device?
Use the pdfFiller mobile app and complete your kitchen manager job code and other documents on your Android device. The app provides you with all essential document management features, such as editing content, eSigning, annotating, sharing files, etc. You will have access to your documents at any time, as long as there is an internet connection.
What is kitchen manager job code?
The kitchen manager job code is a specific classification used to identify individuals responsible for overseeing kitchen operations, staff, and food preparation in various establishments.
Who is required to file kitchen manager job code?
Individuals holding the position of kitchen manager in restaurants, catering services, and other food service organizations are required to file the kitchen manager job code.
How to fill out kitchen manager job code?
To fill out the kitchen manager job code, the individual must complete the relevant application or reporting form, clearly indicating their role, responsibilities, and any required personal or organizational information.
What is the purpose of kitchen manager job code?
The purpose of the kitchen manager job code is to standardize the classification of kitchen managers across the industry, ensuring appropriate recognition, compensation, and regulatory compliance.
What information must be reported on kitchen manager job code?
The information that must be reported includes the manager's name, employment start date, job responsibilities, relevant certifications, and any other details required by the regulatory body.
Fill out your kitchen manager job code online with pdfFiller!
pdfFiller is an end-to-end solution for managing, creating, and editing documents and forms in the cloud. Save time and hassle by preparing your tax forms online.

Kitchen Manager Job Code is not the form you're looking for?Search for another form here.
Relevant keywords
Related Forms
If you believe that this page should be taken down, please follow our DMCA take down process
here
.
This form may include fields for payment information. Data entered in these fields is not covered by PCI DSS compliance.