
Get the free cGMP Core Operator Job Code: 188017
Show details
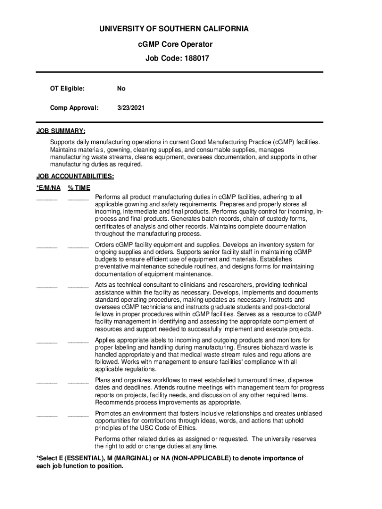
UNIVERSITY OF SOUTHERN CALIFORNIA cGMP Core Operator Job Code: 188017OT Eligible:NoComp Approval:3/23/2021JOB SUMMARY: Supports daily manufacturing operations in current Good Manufacturing Practice
We are not affiliated with any brand or entity on this form
Get, Create, Make and Sign cgmp core operator job

Edit your cgmp core operator job form online
Type text, complete fillable fields, insert images, highlight or blackout data for discretion, add comments, and more.

Add your legally-binding signature
Draw or type your signature, upload a signature image, or capture it with your digital camera.

Share your form instantly
Email, fax, or share your cgmp core operator job form via URL. You can also download, print, or export forms to your preferred cloud storage service.
How to edit cgmp core operator job online
Here are the steps you need to follow to get started with our professional PDF editor:
1
Set up an account. If you are a new user, click Start Free Trial and establish a profile.
2
Prepare a file. Use the Add New button. Then upload your file to the system from your device, importing it from internal mail, the cloud, or by adding its URL.
3
Edit cgmp core operator job. Rearrange and rotate pages, insert new and alter existing texts, add new objects, and take advantage of other helpful tools. Click Done to apply changes and return to your Dashboard. Go to the Documents tab to access merging, splitting, locking, or unlocking functions.
4
Get your file. Select your file from the documents list and pick your export method. You may save it as a PDF, email it, or upload it to the cloud.
With pdfFiller, it's always easy to deal with documents.
Uncompromising security for your PDF editing and eSignature needs
Your private information is safe with pdfFiller. We employ end-to-end encryption, secure cloud storage, and advanced access control to protect your documents and maintain regulatory compliance.
How to fill out cgmp core operator job

How to fill out cgmp core operator job
01
Familiarize yourself with the responsibilities and requirements of a CGMP core operator job.
02
Gather all necessary documents and information such as resumes, references, and educational qualifications.
03
Research companies or organizations that require CGMP core operators.
04
Tailor your resume and cover letter to highlight relevant skills and experience in CGMP.
05
Submit your application through the designated channels mentioned in the job posting.
06
Prepare for interviews by practicing common interview questions and researching about the company's manufacturing processes.
07
Attend scheduled interviews and demonstrate your knowledge and abilities in CGMP.
08
Follow up with thank-you emails or letters expressing your interest in the position.
09
If offered the job, review the terms and conditions before accepting or negotiating any aspects such as salary or benefits.
10
Once employed as a CGMP core operator, fully understand and adhere to all CGMP regulations and guidelines while performing your duties.
Who needs cgmp core operator job?
01
Pharmaceutical companies
02
Biotech companies
03
Medical device manufacturers
04
Cosmetics manufacturers
05
Food and beverage manufacturers
Fill
form
: Try Risk Free
For pdfFiller’s FAQs
Below is a list of the most common customer questions. If you can’t find an answer to your question, please don’t hesitate to reach out to us.
How do I modify my cgmp core operator job in Gmail?
Using pdfFiller's Gmail add-on, you can edit, fill out, and sign your cgmp core operator job and other papers directly in your email. You may get it through Google Workspace Marketplace. Make better use of your time by handling your papers and eSignatures.
Where do I find cgmp core operator job?
The premium version of pdfFiller gives you access to a huge library of fillable forms (more than 25 million fillable templates). You can download, fill out, print, and sign them all. State-specific cgmp core operator job and other forms will be easy to find in the library. Find the template you need and use advanced editing tools to make it your own.
How do I edit cgmp core operator job on an iOS device?
Yes, you can. With the pdfFiller mobile app, you can instantly edit, share, and sign cgmp core operator job on your iOS device. Get it at the Apple Store and install it in seconds. The application is free, but you will have to create an account to purchase a subscription or activate a free trial.
What is cgmp core operator job?
The CGMP Core Operator job involves overseeing and managing operations in a facility that adheres to Current Good Manufacturing Practices (CGMP). These practices ensure that products are produced consistently and controlled to quality standards.
Who is required to file cgmp core operator job?
Individuals or entities that operate within industries governed by CGMP regulations, such as pharmaceuticals and biotechnology, are required to file for the CGMP Core Operator job.
How to fill out cgmp core operator job?
To fill out the CGMP Core Operator job, applicants must complete a specific application form, providing detailed information about their operations, adherence to CGMP regulations, and relevant certifications.
What is the purpose of cgmp core operator job?
The purpose of the CGMP Core Operator job is to ensure compliance with industry standards in the manufacturing process, thereby ensuring product quality, safety, and effectiveness.
What information must be reported on cgmp core operator job?
Key information to be reported includes the name of the operation, description of processes, compliance with CGMP standards, and details of responsible personnel.
Fill out your cgmp core operator job online with pdfFiller!
pdfFiller is an end-to-end solution for managing, creating, and editing documents and forms in the cloud. Save time and hassle by preparing your tax forms online.

Cgmp Core Operator Job is not the form you're looking for?Search for another form here.
Relevant keywords
Related Forms
If you believe that this page should be taken down, please follow our DMCA take down process
here
.
This form may include fields for payment information. Data entered in these fields is not covered by PCI DSS compliance.