Get the free 181915-Executive-Director-Engineering-and-Asset- ...
Show details
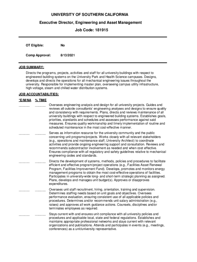
UNIVERSITY OF SOUTHERN CALIFORNIA Executive Director, Engineering and Asset Management Job Code: 181915OT Eligible:NoComp Approval:8/13/2021JOB SUMMARY: Directs the programs, projects, activities
We are not affiliated with any brand or entity on this form
Get, Create, Make and Sign 181915-executive-director-engineering-and-asset
Edit your 181915-executive-director-engineering-and-asset form online
Type text, complete fillable fields, insert images, highlight or blackout data for discretion, add comments, and more.
Add your legally-binding signature
Draw or type your signature, upload a signature image, or capture it with your digital camera.
Share your form instantly
Email, fax, or share your 181915-executive-director-engineering-and-asset form via URL. You can also download, print, or export forms to your preferred cloud storage service.
Editing 181915-executive-director-engineering-and-asset online
Follow the guidelines below to benefit from the PDF editor's expertise:
1
Log into your account. In case you're new, it's time to start your free trial.
2
Simply add a document. Select Add New from your Dashboard and import a file into the system by uploading it from your device or importing it via the cloud, online, or internal mail. Then click Begin editing.
3
Edit 181915-executive-director-engineering-and-asset. Replace text, adding objects, rearranging pages, and more. Then select the Documents tab to combine, divide, lock or unlock the file.
4
Get your file. Select the name of your file in the docs list and choose your preferred exporting method. You can download it as a PDF, save it in another format, send it by email, or transfer it to the cloud.
It's easier to work with documents with pdfFiller than you can have believed. You can sign up for an account to see for yourself.
Uncompromising security for your PDF editing and eSignature needs
Your private information is safe with pdfFiller. We employ end-to-end encryption, secure cloud storage, and advanced access control to protect your documents and maintain regulatory compliance.
How to fill out 181915-executive-director-engineering-and-asset
How to fill out 181915-executive-director-engineering-and-asset
01
Obtain a copy of the 181915-executive-director-engineering-and-asset form.
02
Read the instructions carefully before starting to fill out the form.
03
Provide accurate and up-to-date information in each section of the form.
04
Double-check your entries for any errors before submitting the form.
05
Submit the completed form through the designated method (online, mail, etc.)
Who needs 181915-executive-director-engineering-and-asset?
01
Individuals applying for the position of Executive Director of Engineering and Asset in a company or organization.
Fill
form
: Try Risk Free
For pdfFiller’s FAQs
Below is a list of the most common customer questions. If you can’t find an answer to your question, please don’t hesitate to reach out to us.
Where do I find 181915-executive-director-engineering-and-asset?
With pdfFiller, an all-in-one online tool for professional document management, it's easy to fill out documents. Over 25 million fillable forms are available on our website, and you can find the 181915-executive-director-engineering-and-asset in a matter of seconds. Open it right away and start making it your own with help from advanced editing tools.
How do I make changes in 181915-executive-director-engineering-and-asset?
pdfFiller not only lets you change the content of your files, but you can also change the number and order of pages. Upload your 181915-executive-director-engineering-and-asset to the editor and make any changes in a few clicks. The editor lets you black out, type, and erase text in PDFs. You can also add images, sticky notes, and text boxes, as well as many other things.
How do I edit 181915-executive-director-engineering-and-asset in Chrome?
181915-executive-director-engineering-and-asset can be edited, filled out, and signed with the pdfFiller Google Chrome Extension. You can open the editor right from a Google search page with just one click. Fillable documents can be done on any web-connected device without leaving Chrome.
What is 181915-executive-director-engineering-and-asset?
181915-executive-director-engineering-and-asset refers to the form required to be filed by the executive director of engineering and asset.
Who is required to file 181915-executive-director-engineering-and-asset?
The executive director of engineering and asset is required to file form 181915.
How to fill out 181915-executive-director-engineering-and-asset?
Form 181915 can be filled out online or submitted physically with all the required information provided.
What is the purpose of 181915-executive-director-engineering-and-asset?
The purpose of 181915 is to provide information about the assets and engineering projects overseen by the executive director.
What information must be reported on 181915-executive-director-engineering-and-asset?
The form requires details about the engineering projects, assets managed, budget allocation, and any relevant expenditures.
Fill out your 181915-executive-director-engineering-and-asset online with pdfFiller!
pdfFiller is an end-to-end solution for managing, creating, and editing documents and forms in the cloud. Save time and hassle by preparing your tax forms online.
181915-Executive-Director-Engineering-And-Asset is not the form you're looking for?Search for another form here.
Relevant keywords
Related Forms
If you believe that this page should be taken down, please follow our DMCA take down process
here
.
This form may include fields for payment information. Data entered in these fields is not covered by PCI DSS compliance.