Get the free Forms, Contracts, Checklists and Templates
Show details
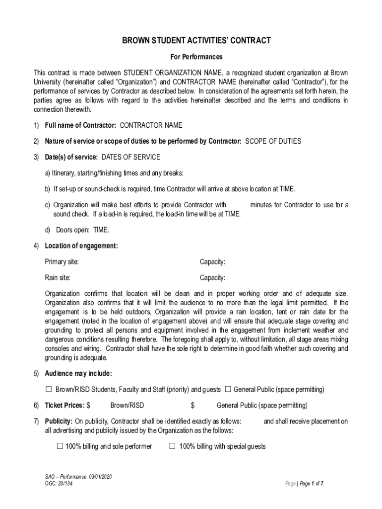
BROWN STUDENT ACTIVITIES CONTRACT For Performances This contract is made between STUDENT ORGANIZATION NAME, a recognized student organization at Brown University (hereinafter called Organization)
We are not affiliated with any brand or entity on this form
Get, Create, Make and Sign forms contracts checklists and
Edit your forms contracts checklists and form online
Type text, complete fillable fields, insert images, highlight or blackout data for discretion, add comments, and more.
Add your legally-binding signature
Draw or type your signature, upload a signature image, or capture it with your digital camera.
Share your form instantly
Email, fax, or share your forms contracts checklists and form via URL. You can also download, print, or export forms to your preferred cloud storage service.
Editing forms contracts checklists and online
Here are the steps you need to follow to get started with our professional PDF editor:
1
Log in. Click Start Free Trial and create a profile if necessary.
2
Prepare a file. Use the Add New button to start a new project. Then, using your device, upload your file to the system by importing it from internal mail, the cloud, or adding its URL.
3
Edit forms contracts checklists and. Rearrange and rotate pages, insert new and alter existing texts, add new objects, and take advantage of other helpful tools. Click Done to apply changes and return to your Dashboard. Go to the Documents tab to access merging, splitting, locking, or unlocking functions.
4
Save your file. Choose it from the list of records. Then, shift the pointer to the right toolbar and select one of the several exporting methods: save it in multiple formats, download it as a PDF, email it, or save it to the cloud.
With pdfFiller, it's always easy to deal with documents. Try it right now
Uncompromising security for your PDF editing and eSignature needs
Your private information is safe with pdfFiller. We employ end-to-end encryption, secure cloud storage, and advanced access control to protect your documents and maintain regulatory compliance.
How to fill out forms contracts checklists and
How to fill out forms contracts checklists and
01
To fill out forms contracts checklists, follow these steps:
02
Start by reviewing the form or contract checklist to understand the purpose and requirements.
03
Gather all the necessary information and documents needed to complete the form or contract checklist.
04
Read each field or section carefully and provide accurate information or check the appropriate boxes.
05
Double-check the completed form or contract checklist for any errors or missing information.
06
Make sure to sign and date the form or contract checklist if required.
07
Submit the filled-out form or contract checklist to the relevant party or department.
08
Keep a copy of the completed form or contract checklist for your records.
Who needs forms contracts checklists and?
01
Forms contracts checklists are useful for:
02
- Businesses and organizations that need to ensure compliance with legal requirements
03
- Individuals who are involved in legal agreements or contracts
04
- Professionals, such as lawyers or consultants, who deal with legal documentation
05
- Administrative personnel responsible for maintaining accurate records
06
- Anyone who wants to stay organized and ensure thorough completion of forms and contracts
Fill
form
: Try Risk Free
For pdfFiller’s FAQs
Below is a list of the most common customer questions. If you can’t find an answer to your question, please don’t hesitate to reach out to us.
Where do I find forms contracts checklists and?
The premium version of pdfFiller gives you access to a huge library of fillable forms (more than 25 million fillable templates). You can download, fill out, print, and sign them all. State-specific forms contracts checklists and and other forms will be easy to find in the library. Find the template you need and use advanced editing tools to make it your own.
How do I edit forms contracts checklists and straight from my smartphone?
The pdfFiller mobile applications for iOS and Android are the easiest way to edit documents on the go. You may get them from the Apple Store and Google Play. More info about the applications here. Install and log in to edit forms contracts checklists and.
How do I edit forms contracts checklists and on an Android device?
The pdfFiller app for Android allows you to edit PDF files like forms contracts checklists and. Mobile document editing, signing, and sending. Install the app to ease document management anywhere.
What is forms contracts checklists and?
Forms contracts checklists are structured documents that outline the necessary components, requirements, and contractual obligations for specific agreements. They serve as a guide to ensure that all essential elements of a contract are considered.
Who is required to file forms contracts checklists and?
Entities or individuals engaged in contractual agreements where a checklist is mandated by relevant regulations or governing bodies are required to file forms contracts checklists.
How to fill out forms contracts checklists and?
To fill out forms contracts checklists, carefully review the checklist items, provide detailed information as required, ensure all necessary documentation is attached, and confirm compliance with any relevant guidelines before submission.
What is the purpose of forms contracts checklists and?
The purpose of forms contracts checklists is to ensure compliance with legal and regulatory requirements, facilitate thorough review of contractual terms, and provide a systematic approach to contract management.
What information must be reported on forms contracts checklists and?
Information that must be reported includes the parties involved in the contract, terms of the agreement, timelines, obligations of each party, and any relevant approvals or signatures.
Fill out your forms contracts checklists and online with pdfFiller!
pdfFiller is an end-to-end solution for managing, creating, and editing documents and forms in the cloud. Save time and hassle by preparing your tax forms online.
Forms Contracts Checklists And is not the form you're looking for?Search for another form here.
Relevant keywords
Related Forms
If you believe that this page should be taken down, please follow our DMCA take down process
here
.
This form may include fields for payment information. Data entered in these fields is not covered by PCI DSS compliance.