Get the free Human Resources Management Certificate
Show details
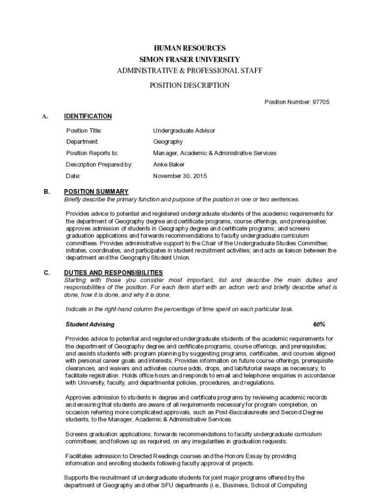
HUMAN RESOURCES
SIMON FRASER UNIVERSITY
ADMINISTRATIVE & PROFESSIONAL STAFF
POSITION DESCRIPTION
Position Number: 97705A. B.IDENTIFICATION
Position Title:Undergraduate AdvisorDepartment:GeographyPosition
We are not affiliated with any brand or entity on this form
Get, Create, Make and Sign human resources management certificate
Edit your human resources management certificate form online
Type text, complete fillable fields, insert images, highlight or blackout data for discretion, add comments, and more.
Add your legally-binding signature
Draw or type your signature, upload a signature image, or capture it with your digital camera.
Share your form instantly
Email, fax, or share your human resources management certificate form via URL. You can also download, print, or export forms to your preferred cloud storage service.
Editing human resources management certificate online
To use our professional PDF editor, follow these steps:
1
Check your account. It's time to start your free trial.
2
Simply add a document. Select Add New from your Dashboard and import a file into the system by uploading it from your device or importing it via the cloud, online, or internal mail. Then click Begin editing.
3
Edit human resources management certificate. Replace text, adding objects, rearranging pages, and more. Then select the Documents tab to combine, divide, lock or unlock the file.
4
Get your file. Select the name of your file in the docs list and choose your preferred exporting method. You can download it as a PDF, save it in another format, send it by email, or transfer it to the cloud.
pdfFiller makes working with documents easier than you could ever imagine. Create an account to find out for yourself how it works!
Uncompromising security for your PDF editing and eSignature needs
Your private information is safe with pdfFiller. We employ end-to-end encryption, secure cloud storage, and advanced access control to protect your documents and maintain regulatory compliance.
How to fill out human resources management certificate
How to fill out human resources management certificate
01
Start by gathering all the necessary information and documents required to fill out the human resources management certificate application form.
02
Read the instructions carefully and understand the guidelines provided by the certifying body.
03
Fill in your personal details such as your full name, contact information, address, and social security number, if applicable.
04
Provide information about your educational background, including the degrees or diplomas you hold and the institutions you attended.
05
Include details about your professional experience in the field of human resources management, such as the companies you have worked for, your job titles, and the responsibilities you have held.
06
If required, attach any supporting documents or certificates that validate your human resources management skills and qualifications.
07
Double-check all the information you have provided before submitting the application form.
08
Pay the necessary fees, if any, and submit the completed application form and supporting documents to the certifying body as per their instructions.
09
Wait for the review process to be completed and for the certifying body to inform you of the outcome.
10
If your application is approved, follow any further instructions provided by the certifying body to receive your human resources management certificate.
Who needs human resources management certificate?
01
Human resources professionals who want to enhance their knowledge and skills in the field of human resources management.
02
Individuals aspiring to pursue a career in human resources management.
03
Employees or managers responsible for recruiting, hiring, and managing personnel.
04
Business owners or entrepreneurs who need to develop effective HR management strategies within their organizations.
05
Professionals seeking to advance their careers in the field of human resources and increase their job prospects.
Fill
form
: Try Risk Free
For pdfFiller’s FAQs
Below is a list of the most common customer questions. If you can’t find an answer to your question, please don’t hesitate to reach out to us.
How do I complete human resources management certificate online?
pdfFiller has made it easy to fill out and sign human resources management certificate. You can use the solution to change and move PDF content, add fields that can be filled in, and sign the document electronically. Start a free trial of pdfFiller, the best tool for editing and filling in documents.
Can I sign the human resources management certificate electronically in Chrome?
Yes, you can. With pdfFiller, you not only get a feature-rich PDF editor and fillable form builder but a powerful e-signature solution that you can add directly to your Chrome browser. Using our extension, you can create your legally-binding eSignature by typing, drawing, or capturing a photo of your signature using your webcam. Choose whichever method you prefer and eSign your human resources management certificate in minutes.
How do I edit human resources management certificate on an Android device?
The pdfFiller app for Android allows you to edit PDF files like human resources management certificate. Mobile document editing, signing, and sending. Install the app to ease document management anywhere.
What is human resources management certificate?
A human resources management certificate is a credential that signifies a person has acquired specific knowledge and skills in the field of human resources management, including aspects such as recruitment, employee relations, performance management, and compliance with labor laws.
Who is required to file human resources management certificate?
Individuals who are working in human resources roles or organizations that are mandated by state or federal regulations to report on their human resources practices typically are required to file a human resources management certificate.
How to fill out human resources management certificate?
To fill out a human resources management certificate, individuals must provide accurate information regarding their organization’s employment practices, including details on workforce demographics, employee classifications, and compliance with labor laws, usually through a specified form provided by regulatory authorities.
What is the purpose of human resources management certificate?
The purpose of a human resources management certificate is to ensure that organizations adhere to legal standards in their employment practices, facilitate accurate reporting to governmental agencies, and promote best practices in human resource management.
What information must be reported on human resources management certificate?
Information that must typically be reported includes the total number of employees, employee classifications (full-time, part-time, temporary), demographics, compensation details, and compliance with specific employment laws.
Fill out your human resources management certificate online with pdfFiller!
pdfFiller is an end-to-end solution for managing, creating, and editing documents and forms in the cloud. Save time and hassle by preparing your tax forms online.
Human Resources Management Certificate is not the form you're looking for?Search for another form here.
Relevant keywords
Related Forms
If you believe that this page should be taken down, please follow our DMCA take down process
here
.
This form may include fields for payment information. Data entered in these fields is not covered by PCI DSS compliance.