Get the free 20-804 Houston Community College System v. Wilson (03/ ... - central hccs
Show details
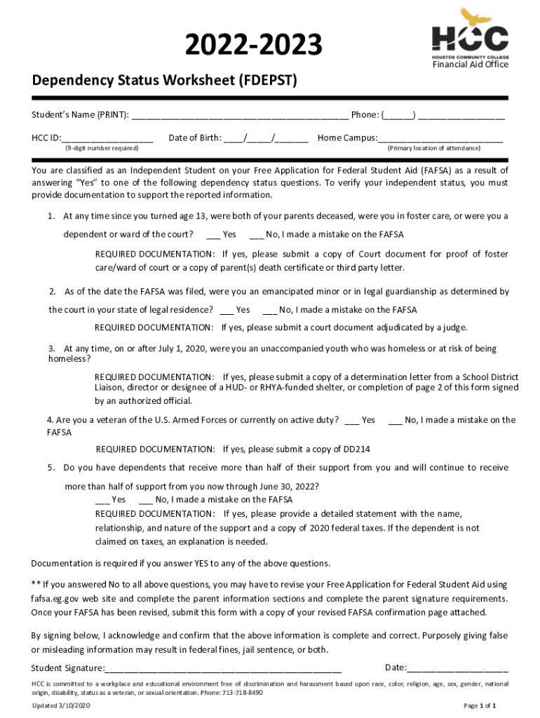
20222023Financial Aid OfficeDependency Status Worksheet (DEPOT)Students Name (PRINT): ___ Phone: (___) ___
HCC ID:___Date of Birth: ___/___/___ Home Campus:___(9digit number required)(Primary location
We are not affiliated with any brand or entity on this form
Get, Create, Make and Sign 20-804 houston community college
Edit your 20-804 houston community college form online
Type text, complete fillable fields, insert images, highlight or blackout data for discretion, add comments, and more.
Add your legally-binding signature
Draw or type your signature, upload a signature image, or capture it with your digital camera.
Share your form instantly
Email, fax, or share your 20-804 houston community college form via URL. You can also download, print, or export forms to your preferred cloud storage service.
How to edit 20-804 houston community college online
Follow the guidelines below to use a professional PDF editor:
1
Create an account. Begin by choosing Start Free Trial and, if you are a new user, establish a profile.
2
Upload a document. Select Add New on your Dashboard and transfer a file into the system in one of the following ways: by uploading it from your device or importing from the cloud, web, or internal mail. Then, click Start editing.
3
Edit 20-804 houston community college. Rearrange and rotate pages, add new and changed texts, add new objects, and use other useful tools. When you're done, click Done. You can use the Documents tab to merge, split, lock, or unlock your files.
4
Get your file. Select the name of your file in the docs list and choose your preferred exporting method. You can download it as a PDF, save it in another format, send it by email, or transfer it to the cloud.
It's easier to work with documents with pdfFiller than you can have ever thought. You can sign up for an account to see for yourself.
Uncompromising security for your PDF editing and eSignature needs
Your private information is safe with pdfFiller. We employ end-to-end encryption, secure cloud storage, and advanced access control to protect your documents and maintain regulatory compliance.
How to fill out 20-804 houston community college
How to fill out 20-804 houston community college
01
Step 1: Gather all the necessary information and documents needed to fill out the 20-804 form.
02
Step 2: Access the official Houston Community College website and navigate to the admissions section.
03
Step 3: Look for the form 20-804 and download it.
04
Step 4: Open the downloaded form in a compatible PDF reader.
05
Step 5: Carefully read through the instructions and requirements listed on the form.
06
Step 6: Begin filling out the form by entering your personal information, including name, address, contact details, and social security number.
07
Step 7: Provide accurate information about your educational background, including high school or college attended, degree or certificate obtained, and dates of attendance.
08
Step 8: If applicable, fill in information regarding any military service or veteran status.
09
Step 9: Proceed to provide information about the specific program or course you are applying for at Houston Community College.
10
Step 10: Answer any additional questions or provide any required documentation as specified on the form.
11
Step 11: Review the completed form for any errors or missing information.
12
Step 12: Sign and date the form where indicated.
13
Step 13: Make a copy of the completed form for your records.
14
Step 14: Submit the completed form to the admissions office of Houston Community College through the designated submission method (in-person, mail, or online).
Who needs 20-804 houston community college?
01
Anyone who wishes to apply for admission to Houston Community College needs to fill out the 20-804 form. This form is typically required for new students seeking enrollment in credit courses or programs at the college. It is also necessary for individuals applying for selective admission programs, financial aid, or veterans' benefits. Therefore, prospective students, including recent high school graduates, transfer students, adult learners, international students, and military veterans, among others, may need to complete the 20-804 form in order to pursue their educational goals at Houston Community College.
Fill
form
: Try Risk Free
For pdfFiller’s FAQs
Below is a list of the most common customer questions. If you can’t find an answer to your question, please don’t hesitate to reach out to us.
Where do I find 20-804 houston community college?
It’s easy with pdfFiller, a comprehensive online solution for professional document management. Access our extensive library of online forms (over 25M fillable forms are available) and locate the 20-804 houston community college in a matter of seconds. Open it right away and start customizing it using advanced editing features.
How do I make changes in 20-804 houston community college?
pdfFiller allows you to edit not only the content of your files, but also the quantity and sequence of the pages. Upload your 20-804 houston community college to the editor and make adjustments in a matter of seconds. Text in PDFs may be blacked out, typed in, and erased using the editor. You may also include photos, sticky notes, and text boxes, among other things.
How do I make edits in 20-804 houston community college without leaving Chrome?
20-804 houston community college can be edited, filled out, and signed with the pdfFiller Google Chrome Extension. You can open the editor right from a Google search page with just one click. Fillable documents can be done on any web-connected device without leaving Chrome.
What is 20-804 houston community college?
20-804 is a specific form or document related to Houston Community College, likely associated with financial aid or enrollment processes.
Who is required to file 20-804 houston community college?
Students who are applying for financial aid or enrollment at Houston Community College may be required to file the 20-804 form.
How to fill out 20-804 houston community college?
To fill out the 20-804 form, gather the required information, follow the provided instructions, and ensure all sections are completed accurately before submission.
What is the purpose of 20-804 houston community college?
The purpose of the 20-804 form is to collect necessary information from students in order to assess their eligibility for financial aid and other educational services.
What information must be reported on 20-804 houston community college?
The information required on the 20-804 form typically includes personal identification details, financial information, and educational background.
Fill out your 20-804 houston community college online with pdfFiller!
pdfFiller is an end-to-end solution for managing, creating, and editing documents and forms in the cloud. Save time and hassle by preparing your tax forms online.
20-804 Houston Community College is not the form you're looking for?Search for another form here.
Relevant keywords
Related Forms
If you believe that this page should be taken down, please follow our DMCA take down process
here
.
This form may include fields for payment information. Data entered in these fields is not covered by PCI DSS compliance.