
Get the free HENDERSON STATE UNIVERSITY GRADUATE ...
Show details
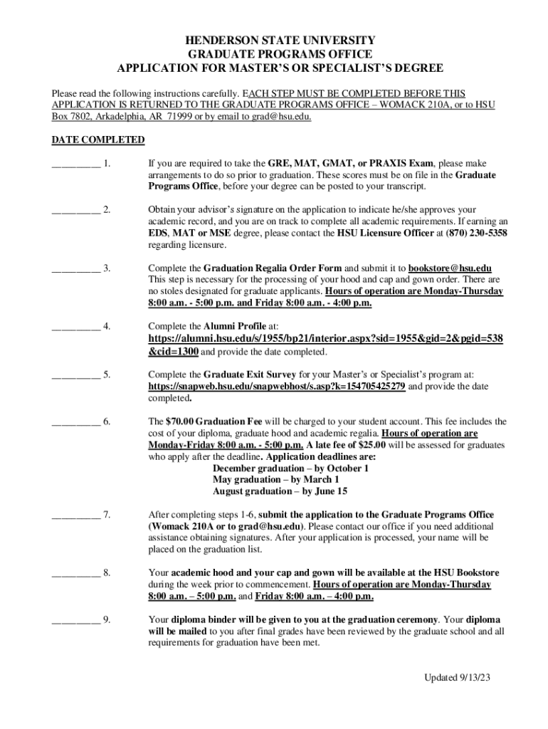
HENDERSON STATE UNIVERSITY
GRADUATE PROGRAMS OFFICE
APPLICATION FOR MASTERS OR SPECIALISTS DEGREE
Please read the following instructions carefully. EACH STEP MUST BE COMPLETED BEFORE THIS
APPLICATION
We are not affiliated with any brand or entity on this form
Get, Create, Make and Sign henderson state university graduate

Edit your henderson state university graduate form online
Type text, complete fillable fields, insert images, highlight or blackout data for discretion, add comments, and more.

Add your legally-binding signature
Draw or type your signature, upload a signature image, or capture it with your digital camera.

Share your form instantly
Email, fax, or share your henderson state university graduate form via URL. You can also download, print, or export forms to your preferred cloud storage service.
How to edit henderson state university graduate online
Use the instructions below to start using our professional PDF editor:
1
Create an account. Begin by choosing Start Free Trial and, if you are a new user, establish a profile.
2
Prepare a file. Use the Add New button to start a new project. Then, using your device, upload your file to the system by importing it from internal mail, the cloud, or adding its URL.
3
Edit henderson state university graduate. Rearrange and rotate pages, add new and changed texts, add new objects, and use other useful tools. When you're done, click Done. You can use the Documents tab to merge, split, lock, or unlock your files.
4
Get your file. Select your file from the documents list and pick your export method. You may save it as a PDF, email it, or upload it to the cloud.
With pdfFiller, it's always easy to work with documents. Try it!
Uncompromising security for your PDF editing and eSignature needs
Your private information is safe with pdfFiller. We employ end-to-end encryption, secure cloud storage, and advanced access control to protect your documents and maintain regulatory compliance.
How to fill out henderson state university graduate

How to fill out henderson state university graduate
01
Obtain the application form from Henderson State University Graduate Admissions Office.
02
Fill out the application form with accurate and up-to-date information.
03
Provide your personal details, including name, contact information, and social security number.
04
Include your educational background, listing all previous degrees earned.
05
Mention any professional experience or relevant work history.
06
Write a Statement of Purpose explaining your reasons for pursuing graduate studies at Henderson State University.
07
Submit the completed application form along with the required documents, such as transcripts, letters of recommendation, and test scores (if applicable).
08
Pay the application fee as instructed by the university.
09
Double-check the form for any errors or missing information before submitting it.
10
Send the application to the designated address or submit it online, following the specified submission method.
Who needs henderson state university graduate?
01
Individuals who are seeking to further their education and acquire advanced knowledge and skills in their chosen field.
02
Those who wish to enhance their career prospects and increase their earning potential.
03
Students who are interested in joining a reputable and accredited graduate program.
04
Professionals looking to specialize in a particular area of study or pursue research opportunities.
05
Individuals who value a quality education and want to be part of a diverse learning community.
06
Candidates who meet the requirements and prerequisites set by Henderson State University for their graduate programs.
Fill
form
: Try Risk Free
For pdfFiller’s FAQs
Below is a list of the most common customer questions. If you can’t find an answer to your question, please don’t hesitate to reach out to us.
How can I send henderson state university graduate to be eSigned by others?
When you're ready to share your henderson state university graduate, you can swiftly email it to others and receive the eSigned document back. You may send your PDF through email, fax, text message, or USPS mail, or you can notarize it online. All of this may be done without ever leaving your account.
How do I complete henderson state university graduate online?
Filling out and eSigning henderson state university graduate is now simple. The solution allows you to change and reorganize PDF text, add fillable fields, and eSign the document. Start a free trial of pdfFiller, the best document editing solution.
How do I edit henderson state university graduate on an Android device?
You can make any changes to PDF files, such as henderson state university graduate, with the help of the pdfFiller mobile app for Android. Edit, sign, and send documents right from your mobile device. Install the app and streamline your document management wherever you are.
What is henderson state university graduate?
Henderson State University graduate refers to a student who has completed a graduate program at Henderson State University, earning a master's degree or other advanced academic qualification.
Who is required to file henderson state university graduate?
Typically, students who have completed their graduate programs need to file for graduation to officially receive their degrees.
How to fill out henderson state university graduate?
Students can fill out the graduation application through the university's online portal, providing necessary personal information, degree details, and any other required documentation.
What is the purpose of henderson state university graduate?
The purpose of the Henderson State University graduate program is to provide advanced education and training in various fields, enhancing professional competencies and academic knowledge.
What information must be reported on henderson state university graduate?
Information that must be reported includes the student's personal details, degree program, expected graduation date, and any outstanding coursework.
Fill out your henderson state university graduate online with pdfFiller!
pdfFiller is an end-to-end solution for managing, creating, and editing documents and forms in the cloud. Save time and hassle by preparing your tax forms online.

Henderson State University Graduate is not the form you're looking for?Search for another form here.
Relevant keywords
Related Forms
If you believe that this page should be taken down, please follow our DMCA take down process
here
.
This form may include fields for payment information. Data entered in these fields is not covered by PCI DSS compliance.