Get the free Martifer Company Profile: Stock Performance & Earnings
Show details
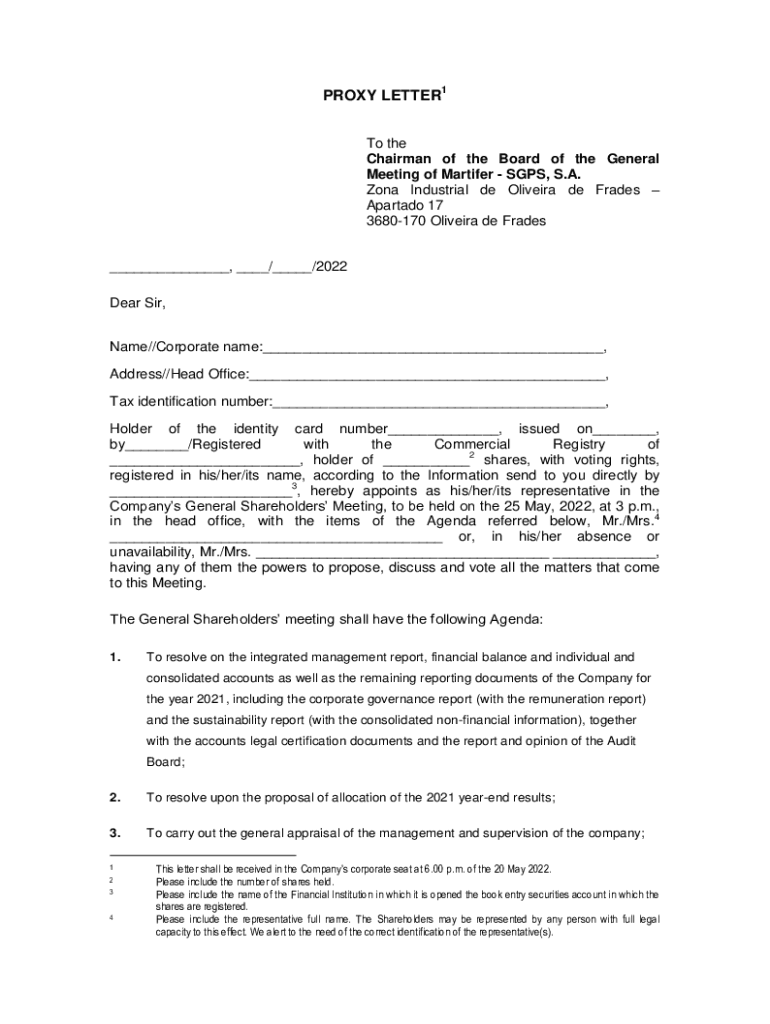
PROXY LETTER1 To the Chairman of the Board of the General Meeting of Martifer SGPS, S.A. Zona Industrial de Oliveira de Frades Apartado 17 3680170 Oliveira de Frades___, ___/___/2022 Dear Sir, Name//Corporate
We are not affiliated with any brand or entity on this form
Get, Create, Make and Sign martifer company profile stock
Edit your martifer company profile stock form online
Type text, complete fillable fields, insert images, highlight or blackout data for discretion, add comments, and more.
Add your legally-binding signature
Draw or type your signature, upload a signature image, or capture it with your digital camera.
Share your form instantly
Email, fax, or share your martifer company profile stock form via URL. You can also download, print, or export forms to your preferred cloud storage service.
Editing martifer company profile stock online
Here are the steps you need to follow to get started with our professional PDF editor:
1
Log in to your account. Start Free Trial and sign up a profile if you don't have one yet.
2
Simply add a document. Select Add New from your Dashboard and import a file into the system by uploading it from your device or importing it via the cloud, online, or internal mail. Then click Begin editing.
3
Edit martifer company profile stock. Rearrange and rotate pages, add and edit text, and use additional tools. To save changes and return to your Dashboard, click Done. The Documents tab allows you to merge, divide, lock, or unlock files.
4
Get your file. Select your file from the documents list and pick your export method. You may save it as a PDF, email it, or upload it to the cloud.
pdfFiller makes dealing with documents a breeze. Create an account to find out!
Uncompromising security for your PDF editing and eSignature needs
Your private information is safe with pdfFiller. We employ end-to-end encryption, secure cloud storage, and advanced access control to protect your documents and maintain regulatory compliance.
How to fill out martifer company profile stock
How to fill out martifer company profile stock
01
Visit the Martifer company website.
02
Navigate to the 'Investor Relations' or 'Stock Information' section of the website.
03
Look for the option to fill out the company profile stock.
04
Click on the option and a form will be displayed.
05
Fill out the form with accurate and relevant information about the company.
06
Provide details such as the company's name, address, industry, contact information, etc.
07
Make sure to review the information entered for accuracy and completeness.
08
Submit the completed form by clicking on the 'Submit' or 'Send' button.
09
Wait for confirmation or further instructions from Martifer regarding the submission of the company profile stock.
Who needs martifer company profile stock?
01
Investors who are interested in purchasing or trading Martifer company stocks.
02
Financial analysts and researchers who require accurate and up-to-date information about Martifer.
03
Potential business partners or clients who want to assess the company's profile and financial health.
04
Regulatory authorities or government agencies that oversee and monitor Martifer's operations.
05
Journalists or media organizations looking for relevant information about Martifer for reporting purposes.
Fill
form
: Try Risk Free
For pdfFiller’s FAQs
Below is a list of the most common customer questions. If you can’t find an answer to your question, please don’t hesitate to reach out to us.
How can I edit martifer company profile stock from Google Drive?
By integrating pdfFiller with Google Docs, you can streamline your document workflows and produce fillable forms that can be stored directly in Google Drive. Using the connection, you will be able to create, change, and eSign documents, including martifer company profile stock, all without having to leave Google Drive. Add pdfFiller's features to Google Drive and you'll be able to handle your documents more effectively from any device with an internet connection.
How can I send martifer company profile stock for eSignature?
Once your martifer company profile stock is complete, you can securely share it with recipients and gather eSignatures with pdfFiller in just a few clicks. You may transmit a PDF by email, text message, fax, USPS mail, or online notarization directly from your account. Make an account right now and give it a go.
Where do I find martifer company profile stock?
It's simple with pdfFiller, a full online document management tool. Access our huge online form collection (over 25M fillable forms are accessible) and find the martifer company profile stock in seconds. Open it immediately and begin modifying it with powerful editing options.
What is martifer company profile stock?
Martifer is a company that specializes in the production of metal structures and renewable energy solutions. Its stock profile includes information about its financial performance, market capitalization, and trading data.
Who is required to file martifer company profile stock?
Companies publicly traded including Martifer are required to file their company profile stock, which is typically mandated by securities regulators and stock exchanges.
How to fill out martifer company profile stock?
To fill out the Martifer company profile stock, one must gather financial data, corporate governance information, and details on business operations. This data is entered into the required formats prescribed by regulatory body guidelines.
What is the purpose of martifer company profile stock?
The purpose of the Martifer company profile stock is to provide potential investors and stakeholders with accurate and comprehensive information regarding the company's financial health, operational scope, and stock performance.
What information must be reported on martifer company profile stock?
Required information includes financial statements, management discussion and analysis, market risk disclosures, corporate governance practices, and shareholder structure.
Fill out your martifer company profile stock online with pdfFiller!
pdfFiller is an end-to-end solution for managing, creating, and editing documents and forms in the cloud. Save time and hassle by preparing your tax forms online.
Martifer Company Profile Stock is not the form you're looking for?Search for another form here.
Relevant keywords
Related Forms
If you believe that this page should be taken down, please follow our DMCA take down process
here
.
This form may include fields for payment information. Data entered in these fields is not covered by PCI DSS compliance.