
Get the free 1 ATTACHMENT A This Personal Service Agreement ( ...
Show details
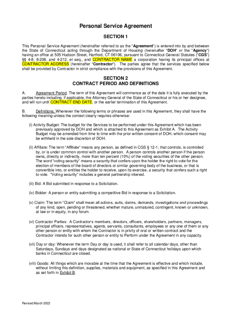
Personal Service Agreement SECTION 1 This Personal Service Agreement (hereinafter referred to as the Agreement) is entered into by and between the State of Connecticut acting through the Department
We are not affiliated with any brand or entity on this form
Get, Create, Make and Sign 1 attachment a this

Edit your 1 attachment a this form online
Type text, complete fillable fields, insert images, highlight or blackout data for discretion, add comments, and more.

Add your legally-binding signature
Draw or type your signature, upload a signature image, or capture it with your digital camera.

Share your form instantly
Email, fax, or share your 1 attachment a this form via URL. You can also download, print, or export forms to your preferred cloud storage service.
Editing 1 attachment a this online
Here are the steps you need to follow to get started with our professional PDF editor:
1
Log into your account. It's time to start your free trial.
2
Prepare a file. Use the Add New button to start a new project. Then, using your device, upload your file to the system by importing it from internal mail, the cloud, or adding its URL.
3
Edit 1 attachment a this. Rearrange and rotate pages, add new and changed texts, add new objects, and use other useful tools. When you're done, click Done. You can use the Documents tab to merge, split, lock, or unlock your files.
4
Save your file. Select it from your records list. Then, click the right toolbar and select one of the various exporting options: save in numerous formats, download as PDF, email, or cloud.
pdfFiller makes dealing with documents a breeze. Create an account to find out!
Uncompromising security for your PDF editing and eSignature needs
Your private information is safe with pdfFiller. We employ end-to-end encryption, secure cloud storage, and advanced access control to protect your documents and maintain regulatory compliance.
How to fill out 1 attachment a this

How to fill out 1 attachment a this
01
To fill out 1 attachment a this, follow these steps:
1. Read the instructions or guidance provided with the attachment.
02
Gather all the necessary information and documents needed to complete the attachment.
03
Start by entering your personal details, such as your name, address, and contact information.
04
Move on to the specific sections or fields of the attachment, filling in the requested information accurately.
05
If there are any checkboxes or options to select, mark the appropriate choice.
06
Double-check all the entered information to ensure its accuracy.
07
If required, sign and date the attachment as per the provided instructions.
08
Make a copy of the completed attachment for your records before submitting it, if necessary.
09
Submit the filled-out attachment as instructed, either online or through the appropriate channel.
10
If you have any doubts or questions, seek assistance from the relevant authority or the contact mentioned in the instructions.
Who needs 1 attachment a this?
01
Anyone who is requested or required to provide the information or details specified in the attachment needs to fill it out.
02
This could include individuals, businesses, organizations, or any other entity mentioned in the attachment's instructions or requirements.
Fill
form
: Try Risk Free
For pdfFiller’s FAQs
Below is a list of the most common customer questions. If you can’t find an answer to your question, please don’t hesitate to reach out to us.
How do I edit 1 attachment a this online?
pdfFiller not only allows you to edit the content of your files but fully rearrange them by changing the number and sequence of pages. Upload your 1 attachment a this to the editor and make any required adjustments in a couple of clicks. The editor enables you to blackout, type, and erase text in PDFs, add images, sticky notes and text boxes, and much more.
How do I fill out 1 attachment a this using my mobile device?
The pdfFiller mobile app makes it simple to design and fill out legal paperwork. Complete and sign 1 attachment a this and other papers using the app. Visit pdfFiller's website to learn more about the PDF editor's features.
How do I edit 1 attachment a this on an Android device?
You can make any changes to PDF files, like 1 attachment a this, with the help of the pdfFiller Android app. Edit, sign, and send documents right from your phone or tablet. You can use the app to make document management easier wherever you are.
What is 1 attachment a this?
1 Attachment A is a supplementary document required for specific tax filings that provides additional information or context related to the main tax return.
Who is required to file 1 attachment a this?
Taxpayers who meet certain criteria, such as claiming specific deductions, credits, or other adjustments on their tax returns, are required to file 1 Attachment A.
How to fill out 1 attachment a this?
To fill out 1 Attachment A, taxpayers must provide accurate and complete information as required, usually by following the official instructions provided by the tax authority.
What is the purpose of 1 attachment a this?
The purpose of 1 Attachment A is to provide detailed information that supports claims made on the main tax return, ensuring transparency and compliance with tax laws.
What information must be reported on 1 attachment a this?
Information that must be reported on 1 Attachment A includes specific financial details, deductions, credits claims, and any related documentation that supports tax positions.
Fill out your 1 attachment a this online with pdfFiller!
pdfFiller is an end-to-end solution for managing, creating, and editing documents and forms in the cloud. Save time and hassle by preparing your tax forms online.

1 Attachment A This is not the form you're looking for?Search for another form here.
Relevant keywords
Related Forms
If you believe that this page should be taken down, please follow our DMCA take down process
here
.
This form may include fields for payment information. Data entered in these fields is not covered by PCI DSS compliance.