
Get the free Lab- Investigating the Properties of Water Part A. Pennies 1 ...
Show details
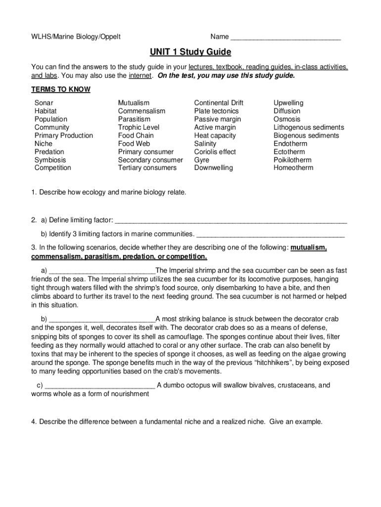
WLHS/Marine Biology/OppeltName ___UNIT 1 Study Guide You can find the answers to the study guide in your lectures, textbook, reading guides, inclass activities, and labs. You may also use the internet.
We are not affiliated with any brand or entity on this form
Get, Create, Make and Sign lab- investigating form properties

Edit your lab- investigating form properties form online
Type text, complete fillable fields, insert images, highlight or blackout data for discretion, add comments, and more.

Add your legally-binding signature
Draw or type your signature, upload a signature image, or capture it with your digital camera.

Share your form instantly
Email, fax, or share your lab- investigating form properties form via URL. You can also download, print, or export forms to your preferred cloud storage service.
Editing lab- investigating form properties online
In order to make advantage of the professional PDF editor, follow these steps below:
1
Create an account. Begin by choosing Start Free Trial and, if you are a new user, establish a profile.
2
Upload a document. Select Add New on your Dashboard and transfer a file into the system in one of the following ways: by uploading it from your device or importing from the cloud, web, or internal mail. Then, click Start editing.
3
Edit lab- investigating form properties. Replace text, adding objects, rearranging pages, and more. Then select the Documents tab to combine, divide, lock or unlock the file.
4
Get your file. When you find your file in the docs list, click on its name and choose how you want to save it. To get the PDF, you can save it, send an email with it, or move it to the cloud.
Uncompromising security for your PDF editing and eSignature needs
Your private information is safe with pdfFiller. We employ end-to-end encryption, secure cloud storage, and advanced access control to protect your documents and maintain regulatory compliance.
How to fill out lab- investigating form properties

How to fill out lab- investigating form properties
01
Start by opening the lab-investigating form properties.
02
Read through the form to familiarize yourself with the information required.
03
Begin by entering the basic details such as the name of the lab, the date of the investigation, and the name of the investigator.
04
Fill in the purpose or objective of the investigation.
05
Indicate the type of investigation being conducted, whether it is a chemical analysis, biological study, or any other relevant category.
06
Provide details about the materials and equipment used in the investigation. Include the quantities, brand names, and any specific models if necessary.
07
Describe the procedure followed during the investigation, including step-by-step instructions and any specific protocols used.
08
Record any observations or data collected during the investigation. This may include measurements, test results, or qualitative observations.
09
Analyze the data and draw conclusions based on the findings. Explain any patterns or trends observed.
10
Summarize the investigation and provide any recommendations or actions to be taken based on the results.
11
Finally, review the completed form for accuracy and make any necessary revisions before submitting or saving it.
Who needs lab- investigating form properties?
01
Lab technicians
02
Scientists
03
Researchers
04
Laboratory managers
05
Quality control personnel
Fill
form
: Try Risk Free
For pdfFiller’s FAQs
Below is a list of the most common customer questions. If you can’t find an answer to your question, please don’t hesitate to reach out to us.
How can I edit lab- investigating form properties from Google Drive?
People who need to keep track of documents and fill out forms quickly can connect PDF Filler to their Google Docs account. This means that they can make, edit, and sign documents right from their Google Drive. Make your lab- investigating form properties into a fillable form that you can manage and sign from any internet-connected device with this add-on.
How can I get lab- investigating form properties?
It's simple with pdfFiller, a full online document management tool. Access our huge online form collection (over 25M fillable forms are accessible) and find the lab- investigating form properties in seconds. Open it immediately and begin modifying it with powerful editing options.
How do I fill out lab- investigating form properties using my mobile device?
Use the pdfFiller mobile app to complete and sign lab- investigating form properties on your mobile device. Visit our web page (https://edit-pdf-ios-android.pdffiller.com/) to learn more about our mobile applications, the capabilities you’ll have access to, and the steps to take to get up and running.
What is lab- investigating form properties?
Lab-investigating form properties refer to the specific characteristics and attributes of forms used in laboratories to collect, analyze, and report data related to various investigations.
Who is required to file lab- investigating form properties?
Individuals or organizations conducting laboratory investigations, including researchers, laboratory managers, and regulatory bodies, are typically required to file lab-investigating form properties.
How to fill out lab- investigating form properties?
To fill out lab-investigating form properties, one must provide relevant data such as the name of the investigation, researcher details, experimental conditions, observations, results, and any necessary compliance information.
What is the purpose of lab- investigating form properties?
The purpose of lab-investigating form properties is to ensure accurate documentation of laboratory investigations, facilitating data collection, organization, and compliance with regulatory standards.
What information must be reported on lab- investigating form properties?
Information that must be reported includes investigator details, date of investigation, description of experiments, raw data, results, and any relevant safety or compliance information.
Fill out your lab- investigating form properties online with pdfFiller!
pdfFiller is an end-to-end solution for managing, creating, and editing documents and forms in the cloud. Save time and hassle by preparing your tax forms online.

Lab- Investigating Form Properties is not the form you're looking for?Search for another form here.
Relevant keywords
Related Forms
If you believe that this page should be taken down, please follow our DMCA take down process
here
.
This form may include fields for payment information. Data entered in these fields is not covered by PCI DSS compliance.