Get the free Search for Public Schools - Phoenix-Talent Rising Academy ...
Show details
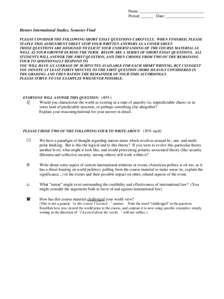
Name: ___ Period: ___ Date: ___Honors International Studies, Semester Final PLEASE CONSIDER THE FOLLOWING SHORT ESSAY QUESTIONS CAREFULLY. WHEN FINISHED, PLEASE STAPLE THIS ASSIGNMENT SHEET ATOP YOUR
We are not affiliated with any brand or entity on this form
Get, Create, Make and Sign search for public schools
Edit your search for public schools form online
Type text, complete fillable fields, insert images, highlight or blackout data for discretion, add comments, and more.
Add your legally-binding signature
Draw or type your signature, upload a signature image, or capture it with your digital camera.
Share your form instantly
Email, fax, or share your search for public schools form via URL. You can also download, print, or export forms to your preferred cloud storage service.
How to edit search for public schools online
Follow the guidelines below to use a professional PDF editor:
1
Log into your account. In case you're new, it's time to start your free trial.
2
Prepare a file. Use the Add New button to start a new project. Then, using your device, upload your file to the system by importing it from internal mail, the cloud, or adding its URL.
3
Edit search for public schools. Add and replace text, insert new objects, rearrange pages, add watermarks and page numbers, and more. Click Done when you are finished editing and go to the Documents tab to merge, split, lock or unlock the file.
4
Get your file. Select your file from the documents list and pick your export method. You may save it as a PDF, email it, or upload it to the cloud.
pdfFiller makes dealing with documents a breeze. Create an account to find out!
Uncompromising security for your PDF editing and eSignature needs
Your private information is safe with pdfFiller. We employ end-to-end encryption, secure cloud storage, and advanced access control to protect your documents and maintain regulatory compliance.
How to fill out search for public schools
How to fill out search for public schools
01
To fill out a search for public schools, follow these steps:
02
Visit the website of your local school district or education department.
03
Look for the 'Search' or 'Find Schools' option on the website.
04
Click on the search option to begin the process.
05
Enter the required information, such as your location, grade level, or specific criteria you are looking for in a school.
06
Use the filters provided, if available, to narrow down your search.
07
Click on the 'Search' button to initiate the search.
08
Browse through the list of public schools that meet your criteria.
09
Read the school profiles, reviews, and ratings to gather more information about each school.
10
Take note of any schools that interest you.
11
Contact the schools directly for further inquiries or to schedule a visit, if necessary.
Who needs search for public schools?
01
Anyone who is looking for information about public schools can benefit from using a search for public schools.
02
This includes parents or guardians who are seeking the best schools for their children, students who are trying to find a suitable school for their education, educators or administrators who want to gather data about different public schools, and researchers or policymakers who are analyzing or evaluating the performance of public schools.
03
In summary, anyone interested in gathering information about public schools would find a search for public schools useful.
Fill
form
: Try Risk Free
For pdfFiller’s FAQs
Below is a list of the most common customer questions. If you can’t find an answer to your question, please don’t hesitate to reach out to us.
How can I edit search for public schools from Google Drive?
By integrating pdfFiller with Google Docs, you can streamline your document workflows and produce fillable forms that can be stored directly in Google Drive. Using the connection, you will be able to create, change, and eSign documents, including search for public schools, all without having to leave Google Drive. Add pdfFiller's features to Google Drive and you'll be able to handle your documents more effectively from any device with an internet connection.
How can I send search for public schools for eSignature?
When your search for public schools is finished, send it to recipients securely and gather eSignatures with pdfFiller. You may email, text, fax, mail, or notarize a PDF straight from your account. Create an account today to test it.
Can I create an electronic signature for the search for public schools in Chrome?
As a PDF editor and form builder, pdfFiller has a lot of features. It also has a powerful e-signature tool that you can add to your Chrome browser. With our extension, you can type, draw, or take a picture of your signature with your webcam to make your legally-binding eSignature. Choose how you want to sign your search for public schools and you'll be done in minutes.
What is search for public schools?
Search for public schools refers to the process of locating and identifying public educational institutions within a specific area or district.
Who is required to file search for public schools?
Typically, school districts, educational authorities, or individuals seeking information about public schools are required to file a search for public schools.
How to fill out search for public schools?
Filling out a search for public schools usually involves completing a form with details such as the location, school district, and specific criteria for the schools being sought.
What is the purpose of search for public schools?
The purpose of search for public schools is to facilitate access to information about available public educational options and ensure transparency in education.
What information must be reported on search for public schools?
Information that must be reported includes school names, addresses, enrollment numbers, performance metrics, and any relevant accreditation details.
Fill out your search for public schools online with pdfFiller!
pdfFiller is an end-to-end solution for managing, creating, and editing documents and forms in the cloud. Save time and hassle by preparing your tax forms online.
Search For Public Schools is not the form you're looking for?Search for another form here.
Relevant keywords
Related Forms
If you believe that this page should be taken down, please follow our DMCA take down process
here
.
This form may include fields for payment information. Data entered in these fields is not covered by PCI DSS compliance.