
Get the free The Counseling CenterSUNY Buffalo State University
Show details
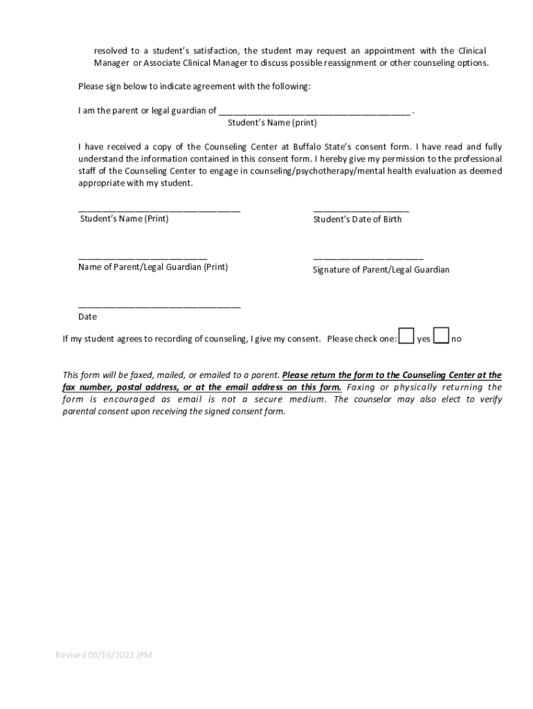
The Counseling Center 219 Weigel Buffalo, NY 14222 Tel: (716) 8784436 Email: counselingcenter@buffalostate.edu Fax: (716) 8783003 http://counselingcenter.buffalostate.eduRights, Privacy, Responsibilities
We are not affiliated with any brand or entity on this form
Get, Create, Make and Sign form counseling centersuny buffalo

Edit your form counseling centersuny buffalo form online
Type text, complete fillable fields, insert images, highlight or blackout data for discretion, add comments, and more.

Add your legally-binding signature
Draw or type your signature, upload a signature image, or capture it with your digital camera.

Share your form instantly
Email, fax, or share your form counseling centersuny buffalo form via URL. You can also download, print, or export forms to your preferred cloud storage service.
How to edit form counseling centersuny buffalo online
Use the instructions below to start using our professional PDF editor:
1
Log in. Click Start Free Trial and create a profile if necessary.
2
Upload a document. Select Add New on your Dashboard and transfer a file into the system in one of the following ways: by uploading it from your device or importing from the cloud, web, or internal mail. Then, click Start editing.
3
Edit form counseling centersuny buffalo. Add and change text, add new objects, move pages, add watermarks and page numbers, and more. Then click Done when you're done editing and go to the Documents tab to merge or split the file. If you want to lock or unlock the file, click the lock or unlock button.
4
Get your file. Select the name of your file in the docs list and choose your preferred exporting method. You can download it as a PDF, save it in another format, send it by email, or transfer it to the cloud.
Dealing with documents is always simple with pdfFiller. Try it right now
Uncompromising security for your PDF editing and eSignature needs
Your private information is safe with pdfFiller. We employ end-to-end encryption, secure cloud storage, and advanced access control to protect your documents and maintain regulatory compliance.
How to fill out form counseling centersuny buffalo

How to fill out form counseling centersuny buffalo
01
Start by downloading the form from the official website of Counseling Center at SUNY Buffalo.
02
Read the instructions carefully and make sure to understand the purpose of the form.
03
Begin by filling out your personal information, including your name, contact information, and student ID number.
04
Provide details about your current academic status, such as your major and year of study.
05
Indicate the reason for seeking counseling services and provide any relevant information or concerns you may have.
06
If you have any preferences for a specific counselor or time availability, make sure to mention it in the form.
07
Review the completed form to ensure all information is accurate and complete.
08
Submit the form to the Counseling Center either in person or through the designated submission method mentioned in the instructions.
09
Wait for a response from the Counseling Center regarding your request for counseling services.
Who needs form counseling centersuny buffalo?
01
Any student at SUNY Buffalo who is experiencing emotional or psychological challenges can benefit from filling out the form for counseling services at the Counseling Center.
02
Whether you are struggling with stress, anxiety, depression, or any other mental health issue, the counseling services are available to assist you.
03
It is recommended to reach out for counseling support if you feel overwhelmed, need guidance, or simply want to improve your overall well-being.
Fill
form
: Try Risk Free
For pdfFiller’s FAQs
Below is a list of the most common customer questions. If you can’t find an answer to your question, please don’t hesitate to reach out to us.
Where do I find form counseling centersuny buffalo?
With pdfFiller, an all-in-one online tool for professional document management, it's easy to fill out documents. Over 25 million fillable forms are available on our website, and you can find the form counseling centersuny buffalo in a matter of seconds. Open it right away and start making it your own with help from advanced editing tools.
How do I make changes in form counseling centersuny buffalo?
The editing procedure is simple with pdfFiller. Open your form counseling centersuny buffalo in the editor, which is quite user-friendly. You may use it to blackout, redact, write, and erase text, add photos, draw arrows and lines, set sticky notes and text boxes, and much more.
How do I fill out form counseling centersuny buffalo on an Android device?
Use the pdfFiller mobile app and complete your form counseling centersuny buffalo and other documents on your Android device. The app provides you with all essential document management features, such as editing content, eSigning, annotating, sharing files, etc. You will have access to your documents at any time, as long as there is an internet connection.
What is form counseling centersuny buffalo?
The form counseling centersuny buffalo is a specific document used by counseling centers at SUNY Buffalo to report information regarding their services, operations, and compliance with regulations.
Who is required to file form counseling centersuny buffalo?
Counseling centers affiliated with SUNY Buffalo are required to file this form to ensure adherence to institutional and regulatory standards.
How to fill out form counseling centersuny buffalo?
To fill out the form, counseling centers must provide detailed information as requested, ensuring that all sections are completed accurately and submitted by the deadline.
What is the purpose of form counseling centersuny buffalo?
The purpose of the form is to gather essential data for monitoring the effectiveness and compliance of counseling services provided by the centers.
What information must be reported on form counseling centersuny buffalo?
The form requires reporting information about services offered, number of clients served, outcomes achieved, and any relevant operational metrics.
Fill out your form counseling centersuny buffalo online with pdfFiller!
pdfFiller is an end-to-end solution for managing, creating, and editing documents and forms in the cloud. Save time and hassle by preparing your tax forms online.

Form Counseling Centersuny Buffalo is not the form you're looking for?Search for another form here.
Relevant keywords
Related Forms
If you believe that this page should be taken down, please follow our DMCA take down process
here
.
This form may include fields for payment information. Data entered in these fields is not covered by PCI DSS compliance.