Get the free General & Program InformationMove Like A Gymnast
Show details
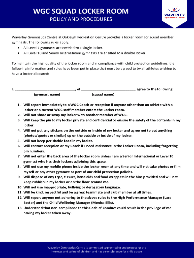
WGC SQUAD LOCKER ROOM
POLICY AND PROCEDURES
Waverley Gymnastics Center at Oakland Recreation Center provides a locker room for squad member
gymnasts. The following rules apply:
All Level 7 gymnasts
We are not affiliated with any brand or entity on this form
Get, Create, Make and Sign general amp program informationmove
Edit your general amp program informationmove form online
Type text, complete fillable fields, insert images, highlight or blackout data for discretion, add comments, and more.
Add your legally-binding signature
Draw or type your signature, upload a signature image, or capture it with your digital camera.
Share your form instantly
Email, fax, or share your general amp program informationmove form via URL. You can also download, print, or export forms to your preferred cloud storage service.
How to edit general amp program informationmove online
Follow the guidelines below to benefit from the PDF editor's expertise:
1
Sign into your account. If you don't have a profile yet, click Start Free Trial and sign up for one.
2
Prepare a file. Use the Add New button to start a new project. Then, using your device, upload your file to the system by importing it from internal mail, the cloud, or adding its URL.
3
Edit general amp program informationmove. Text may be added and replaced, new objects can be included, pages can be rearranged, watermarks and page numbers can be added, and so on. When you're done editing, click Done and then go to the Documents tab to combine, divide, lock, or unlock the file.
4
Save your file. Select it from your records list. Then, click the right toolbar and select one of the various exporting options: save in numerous formats, download as PDF, email, or cloud.
pdfFiller makes working with documents easier than you could ever imagine. Register for an account and see for yourself!
Uncompromising security for your PDF editing and eSignature needs
Your private information is safe with pdfFiller. We employ end-to-end encryption, secure cloud storage, and advanced access control to protect your documents and maintain regulatory compliance.
How to fill out general amp program informationmove
How to fill out general amp program informationmove
01
To fill out the general amp program informationmove, follow these steps:
02
- Open the general amp program informationmove form
03
- Provide the required personal information such as name, address, and contact details
04
- Fill in the details about the general amp program, including its goals and objectives
05
- Include any additional information or attachments that may be necessary
06
- Review the filled information for any errors or missing details
07
- Submit the completed form by the specified deadline
Who needs general amp program informationmove?
01
Anyone who is involved in or responsible for the general amp program may need to fill out the general amp program informationmove. This can include program managers, coordinators, or individuals responsible for documenting and reporting program information. It is important to ensure accurate and up-to-date information is provided for program evaluation, monitoring, and decision making.
Fill
form
: Try Risk Free
For pdfFiller’s FAQs
Below is a list of the most common customer questions. If you can’t find an answer to your question, please don’t hesitate to reach out to us.
How can I manage my general amp program informationmove directly from Gmail?
pdfFiller’s add-on for Gmail enables you to create, edit, fill out and eSign your general amp program informationmove and any other documents you receive right in your inbox. Visit Google Workspace Marketplace and install pdfFiller for Gmail. Get rid of time-consuming steps and manage your documents and eSignatures effortlessly.
How do I edit general amp program informationmove on an iOS device?
Yes, you can. With the pdfFiller mobile app, you can instantly edit, share, and sign general amp program informationmove on your iOS device. Get it at the Apple Store and install it in seconds. The application is free, but you will have to create an account to purchase a subscription or activate a free trial.
Can I edit general amp program informationmove on an Android device?
With the pdfFiller mobile app for Android, you may make modifications to PDF files such as general amp program informationmove. Documents may be edited, signed, and sent directly from your mobile device. Install the app and you'll be able to manage your documents from anywhere.
What is general amp program informationmove?
The general amp program informationmove typically refers to a standardized form or process used to collect relevant information regarding a specific program or initiative, primarily for tracking, reporting, and regulatory compliance purposes.
Who is required to file general amp program informationmove?
Organizations or individuals participating in the specific program or initiative that generates the required information are obligated to file the general amp program informationmove.
How to fill out general amp program informationmove?
Filling out the general amp program informationmove involves completing all sections of the form accurately, providing all required data, signatures, and any necessary attachments before submission by the deadline.
What is the purpose of general amp program informationmove?
The primary purpose of the general amp program informationmove is to ensure transparency, compliance, and effective tracking of program activities and outcomes for regulatory bodies or overseeing organizations.
What information must be reported on general amp program informationmove?
The required information typically includes program details, participant data, financial information, and any relevant metrics or performance indicators related to the program's execution.
Fill out your general amp program informationmove online with pdfFiller!
pdfFiller is an end-to-end solution for managing, creating, and editing documents and forms in the cloud. Save time and hassle by preparing your tax forms online.
General Amp Program Informationmove is not the form you're looking for?Search for another form here.
Relevant keywords
Related Forms
If you believe that this page should be taken down, please follow our DMCA take down process
here
.
This form may include fields for payment information. Data entered in these fields is not covered by PCI DSS compliance.