
Get the free CoordinateAlgebraEOC(GSE)Quiz
Show details
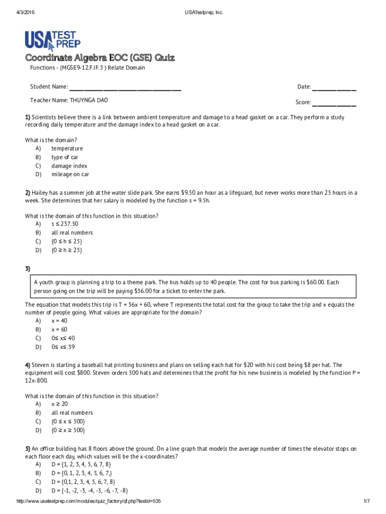
4/3/2016USATestprep,Inc.CoordinateAlgebraEOC(GSE)Quiz Functions (MGSE912.F.IF.5 ) Relate Domain Student Name:___Teacher Name: THUYNGA DAO___ Score: ___ Date:1) Scientists believe there is a link between
We are not affiliated with any brand or entity on this form
Get, Create, Make and Sign coordinatealgebraeocgsequiz

Edit your coordinatealgebraeocgsequiz form online
Type text, complete fillable fields, insert images, highlight or blackout data for discretion, add comments, and more.

Add your legally-binding signature
Draw or type your signature, upload a signature image, or capture it with your digital camera.

Share your form instantly
Email, fax, or share your coordinatealgebraeocgsequiz form via URL. You can also download, print, or export forms to your preferred cloud storage service.
How to edit coordinatealgebraeocgsequiz online
To use our professional PDF editor, follow these steps:
1
Register the account. Begin by clicking Start Free Trial and create a profile if you are a new user.
2
Upload a document. Select Add New on your Dashboard and transfer a file into the system in one of the following ways: by uploading it from your device or importing from the cloud, web, or internal mail. Then, click Start editing.
3
Edit coordinatealgebraeocgsequiz. Add and change text, add new objects, move pages, add watermarks and page numbers, and more. Then click Done when you're done editing and go to the Documents tab to merge or split the file. If you want to lock or unlock the file, click the lock or unlock button.
4
Get your file. Select the name of your file in the docs list and choose your preferred exporting method. You can download it as a PDF, save it in another format, send it by email, or transfer it to the cloud.
pdfFiller makes working with documents easier than you could ever imagine. Try it for yourself by creating an account!
Uncompromising security for your PDF editing and eSignature needs
Your private information is safe with pdfFiller. We employ end-to-end encryption, secure cloud storage, and advanced access control to protect your documents and maintain regulatory compliance.
How to fill out coordinatealgebraeocgsequiz

How to fill out coordinatealgebraeocgsequiz
01
Start by reading the instructions for the coordinate algebra EOC GSE quiz.
02
Gather all the necessary materials, such as a pencil or pen and scratch paper.
03
Begin by answering the first question on the quiz.
04
Read each question carefully and consider all possible answer choices before making your selection.
05
Use your knowledge of coordinate algebra concepts to solve each problem.
06
Show all your work and provide explanations if required.
07
Double-check your answers before submitting the quiz.
08
If time allows, review your answers again.
09
Once you are satisfied with your responses, submit your completed coordinate algebra EOC GSE quiz.
Who needs coordinatealgebraeocgsequiz?
01
Students studying coordinate algebra
02
Individuals preparing for the coordinate algebra EOC GSE exam
03
Teachers evaluating their students' knowledge in coordinate algebra
04
Anyone interested in testing their understanding of coordinate algebra concepts
Fill
form
: Try Risk Free
For pdfFiller’s FAQs
Below is a list of the most common customer questions. If you can’t find an answer to your question, please don’t hesitate to reach out to us.
Can I create an electronic signature for signing my coordinatealgebraeocgsequiz in Gmail?
When you use pdfFiller's add-on for Gmail, you can add or type a signature. You can also draw a signature. pdfFiller lets you eSign your coordinatealgebraeocgsequiz and other documents right from your email. In order to keep signed documents and your own signatures, you need to sign up for an account.
How do I fill out the coordinatealgebraeocgsequiz form on my smartphone?
You can quickly make and fill out legal forms with the help of the pdfFiller app on your phone. Complete and sign coordinatealgebraeocgsequiz and other documents on your mobile device using the application. If you want to learn more about how the PDF editor works, go to pdfFiller.com.
How do I edit coordinatealgebraeocgsequiz on an iOS device?
You certainly can. You can quickly edit, distribute, and sign coordinatealgebraeocgsequiz on your iOS device with the pdfFiller mobile app. Purchase it from the Apple Store and install it in seconds. The program is free, but in order to purchase a subscription or activate a free trial, you must first establish an account.
What is coordinatealgebraeocgsequiz?
Coordinate Algebra EOC (End-of-Course) Georgia Standards Test Quiz
Who is required to file coordinatealgebraeocgsequiz?
Students who are taking Coordinate Algebra as part of their coursework in Georgia schools
How to fill out coordinatealgebraeocgsequiz?
Students must answer the questions on the quiz based on their understanding of Coordinate Algebra concepts
What is the purpose of coordinatealgebraeocgsequiz?
The purpose is to assess students' knowledge and understanding of Coordinate Algebra standards in Georgia
What information must be reported on coordinatealgebraeocgsequiz?
Students' responses to the quiz questions and potentially their scores
Fill out your coordinatealgebraeocgsequiz online with pdfFiller!
pdfFiller is an end-to-end solution for managing, creating, and editing documents and forms in the cloud. Save time and hassle by preparing your tax forms online.

Coordinatealgebraeocgsequiz is not the form you're looking for?Search for another form here.
Relevant keywords
Related Forms
If you believe that this page should be taken down, please follow our DMCA take down process
here
.
This form may include fields for payment information. Data entered in these fields is not covered by PCI DSS compliance.