Get the free Planning and Zoning Fees - City of Sea Isle, NJ - eCode360
Show details
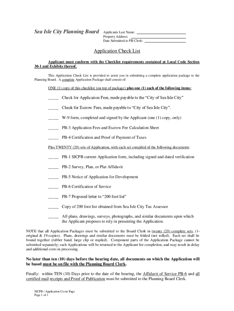
Sea Isle City Planning BoardApplicants Last Name: Property Address: Date Submitted to PB Clerk:Application Check List Applicant must conform with the Checklist requirements contained at Local Code
We are not affiliated with any brand or entity on this form
Get, Create, Make and Sign planning and zoning fees
Edit your planning and zoning fees form online
Type text, complete fillable fields, insert images, highlight or blackout data for discretion, add comments, and more.
Add your legally-binding signature
Draw or type your signature, upload a signature image, or capture it with your digital camera.
Share your form instantly
Email, fax, or share your planning and zoning fees form via URL. You can also download, print, or export forms to your preferred cloud storage service.
Editing planning and zoning fees online
Follow the steps down below to benefit from a competent PDF editor:
1
Set up an account. If you are a new user, click Start Free Trial and establish a profile.
2
Upload a file. Select Add New on your Dashboard and upload a file from your device or import it from the cloud, online, or internal mail. Then click Edit.
3
Edit planning and zoning fees. Rearrange and rotate pages, add and edit text, and use additional tools. To save changes and return to your Dashboard, click Done. The Documents tab allows you to merge, divide, lock, or unlock files.
4
Get your file. Select your file from the documents list and pick your export method. You may save it as a PDF, email it, or upload it to the cloud.
With pdfFiller, it's always easy to work with documents.
Uncompromising security for your PDF editing and eSignature needs
Your private information is safe with pdfFiller. We employ end-to-end encryption, secure cloud storage, and advanced access control to protect your documents and maintain regulatory compliance.
How to fill out planning and zoning fees
How to fill out planning and zoning fees
01
Determine the specific planning and zoning fees required for your particular project. This information can usually be found on the local government's website or by contacting the planning and zoning department directly.
02
Collect all necessary documents and information that will be needed to fill out the application for planning and zoning fees. This may include project plans, property information, and any required permits or licenses.
03
Fill out the application form accurately and completely. Ensure that all required fields are filled in and all necessary supporting documents are attached.
04
Calculate the total fees based on the fee schedule provided by the planning and zoning department. Make sure to include any additional fees for special services or requests.
05
Prepare the payment for the fees. Check the accepted payment methods, such as cash, check, or online payment, and make sure to include the correct amount.
06
Submit the application along with the required fees and supporting documents to the planning and zoning department. This can usually be done in person or through an online submission portal.
07
Wait for the application to be processed. The planning and zoning department will review the application, verify the fees, and assess if the project complies with the applicable regulations.
08
Once the application is approved and the fees are confirmed, you will receive a notification or invoice indicating the final amount to be paid.
09
Pay any remaining balance, if applicable, to complete the process of filling out planning and zoning fees.
10
Keep copies of all submitted documents, receipts, and correspondence for your records.
Who needs planning and zoning fees?
01
Anyone who wants to undertake a construction or development project that requires changes to usage, size, or appearance of a property may need to pay planning and zoning fees.
02
This includes individuals, businesses, organizations, and government agencies who are seeking permits, variances, rezoning, site plan approvals, or other land use approvals.
03
Planning and zoning fees are typically needed to cover administrative costs, inspection services, environmental assessments, and other related expenses involved in the review and approval process.
Fill
form
: Try Risk Free
For pdfFiller’s FAQs
Below is a list of the most common customer questions. If you can’t find an answer to your question, please don’t hesitate to reach out to us.
How do I edit planning and zoning fees online?
pdfFiller allows you to edit not only the content of your files, but also the quantity and sequence of the pages. Upload your planning and zoning fees to the editor and make adjustments in a matter of seconds. Text in PDFs may be blacked out, typed in, and erased using the editor. You may also include photos, sticky notes, and text boxes, among other things.
Can I create an electronic signature for the planning and zoning fees in Chrome?
Yes. By adding the solution to your Chrome browser, you may use pdfFiller to eSign documents while also enjoying all of the PDF editor's capabilities in one spot. Create a legally enforceable eSignature by sketching, typing, or uploading a photo of your handwritten signature using the extension. Whatever option you select, you'll be able to eSign your planning and zoning fees in seconds.
How do I complete planning and zoning fees on an Android device?
Use the pdfFiller Android app to finish your planning and zoning fees and other documents on your Android phone. The app has all the features you need to manage your documents, like editing content, eSigning, annotating, sharing files, and more. At any time, as long as there is an internet connection.
What is planning and zoning fees?
Planning and zoning fees are charges imposed by local government authorities for processing applications related to land use, zoning changes, and development permits.
Who is required to file planning and zoning fees?
Individuals or entities that submit applications for zoning changes, land use permits, or development plans are required to file planning and zoning fees.
How to fill out planning and zoning fees?
To fill out planning and zoning fees, applicants must complete the designated forms provided by the local planning department, including details about the project, property location, and the applicable fee amount.
What is the purpose of planning and zoning fees?
The purpose of planning and zoning fees is to cover the administrative costs involved in reviewing applications, conducting public hearings, and enforcing land use regulations.
What information must be reported on planning and zoning fees?
Applicants must report information such as property address, type of application, descriptions of the proposed project, and the calculation of the fee based on local regulations.
Fill out your planning and zoning fees online with pdfFiller!
pdfFiller is an end-to-end solution for managing, creating, and editing documents and forms in the cloud. Save time and hassle by preparing your tax forms online.
Planning And Zoning Fees is not the form you're looking for?Search for another form here.
Relevant keywords
Related Forms
If you believe that this page should be taken down, please follow our DMCA take down process
here
.
This form may include fields for payment information. Data entered in these fields is not covered by PCI DSS compliance.