
Get the free TABLE A - ALTA Land Survey
Show details
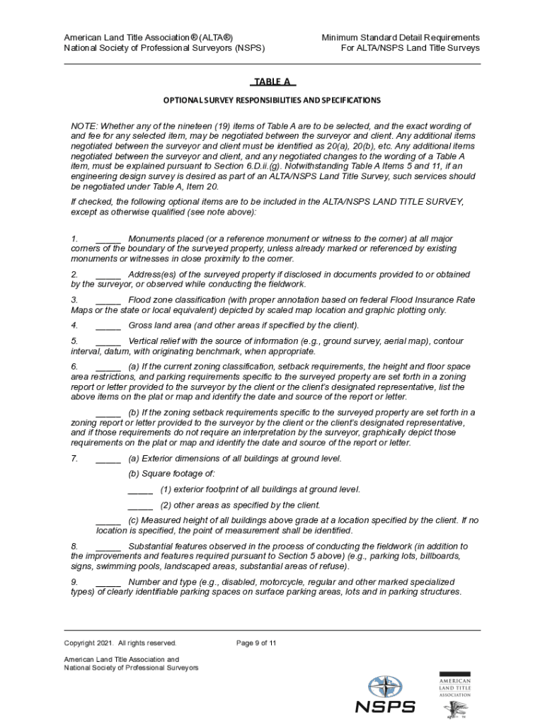
American Land Title Association (ALTA)
National Society of Professional Surveyors (NPS)Minimum Standard Detail Requirements
For ALTA/NPS Land Title Surveyable A
OPTIONAL SURVEY RESPONSIBILITIES AND
We are not affiliated with any brand or entity on this form
Get, Create, Make and Sign table a - alta

Edit your table a - alta form online
Type text, complete fillable fields, insert images, highlight or blackout data for discretion, add comments, and more.

Add your legally-binding signature
Draw or type your signature, upload a signature image, or capture it with your digital camera.

Share your form instantly
Email, fax, or share your table a - alta form via URL. You can also download, print, or export forms to your preferred cloud storage service.
How to edit table a - alta online
To use our professional PDF editor, follow these steps:
1
Log in to your account. Start Free Trial and sign up a profile if you don't have one.
2
Upload a document. Select Add New on your Dashboard and transfer a file into the system in one of the following ways: by uploading it from your device or importing from the cloud, web, or internal mail. Then, click Start editing.
3
Edit table a - alta. Rearrange and rotate pages, add new and changed texts, add new objects, and use other useful tools. When you're done, click Done. You can use the Documents tab to merge, split, lock, or unlock your files.
4
Save your file. Select it from your list of records. Then, move your cursor to the right toolbar and choose one of the exporting options. You can save it in multiple formats, download it as a PDF, send it by email, or store it in the cloud, among other things.
pdfFiller makes dealing with documents a breeze. Create an account to find out!
Uncompromising security for your PDF editing and eSignature needs
Your private information is safe with pdfFiller. We employ end-to-end encryption, secure cloud storage, and advanced access control to protect your documents and maintain regulatory compliance.
How to fill out table a - alta

How to fill out table a - alta
01
To fill out table a - alta, follow these steps:
02
Start by opening the table a - alta form
03
Enter your personal information such as name, address, and contact details
04
Specify the purpose of filling out the table a - alta
05
Complete the table by providing accurate and relevant information in the designated fields
06
Double-check all the entered data for any errors or omissions
07
Submit the filled-out form as per the instructions provided
Who needs table a - alta?
01
Table a - alta is required by individuals or organizations who need to provide detailed information for a specific purpose.
02
Some examples of who needs table a - alta include:
03
- Applicants for a job or admission
04
- Participants in a research study
05
- Companies seeking business permits
06
- Individuals applying for government programs or benefits
07
- Individuals providing information for legal or administrative purposes
Fill
form
: Try Risk Free
For pdfFiller’s FAQs
Below is a list of the most common customer questions. If you can’t find an answer to your question, please don’t hesitate to reach out to us.
How can I get table a - alta?
The premium subscription for pdfFiller provides you with access to an extensive library of fillable forms (over 25M fillable templates) that you can download, fill out, print, and sign. You won’t have any trouble finding state-specific table a - alta and other forms in the library. Find the template you need and customize it using advanced editing functionalities.
How do I edit table a - alta in Chrome?
Add pdfFiller Google Chrome Extension to your web browser to start editing table a - alta and other documents directly from a Google search page. The service allows you to make changes in your documents when viewing them in Chrome. Create fillable documents and edit existing PDFs from any internet-connected device with pdfFiller.
How do I fill out the table a - alta form on my smartphone?
Use the pdfFiller mobile app to fill out and sign table a - alta. Visit our website (https://edit-pdf-ios-android.pdffiller.com/) to learn more about our mobile applications, their features, and how to get started.
What is table a - alta?
Table A - Alta is a financial document used for reporting certain income and tax-related information to the tax authorities.
Who is required to file table a - alta?
Individuals or entities that meet specific income thresholds or business activities mandated by tax regulations are required to file Table A - Alta.
How to fill out table a - alta?
To fill out Table A - Alta, one must gather all necessary financial information, follow the provided instructions, and complete the form accurately with the required details.
What is the purpose of table a - alta?
The purpose of Table A - Alta is to ensure compliance with tax reporting obligations and to provide the tax authorities with accurate information regarding income and deductions.
What information must be reported on table a - alta?
The information that must be reported includes income amounts, expenses, deductions, and relevant identification details of the taxpayer.
Fill out your table a - alta online with pdfFiller!
pdfFiller is an end-to-end solution for managing, creating, and editing documents and forms in the cloud. Save time and hassle by preparing your tax forms online.

Table A - Alta is not the form you're looking for?Search for another form here.
Relevant keywords
Related Forms
If you believe that this page should be taken down, please follow our DMCA take down process
here
.
This form may include fields for payment information. Data entered in these fields is not covered by PCI DSS compliance.