Form preview

Get the free Section 3513.05Deadline for filing declaration of candidacy. - le utah template

Get Form
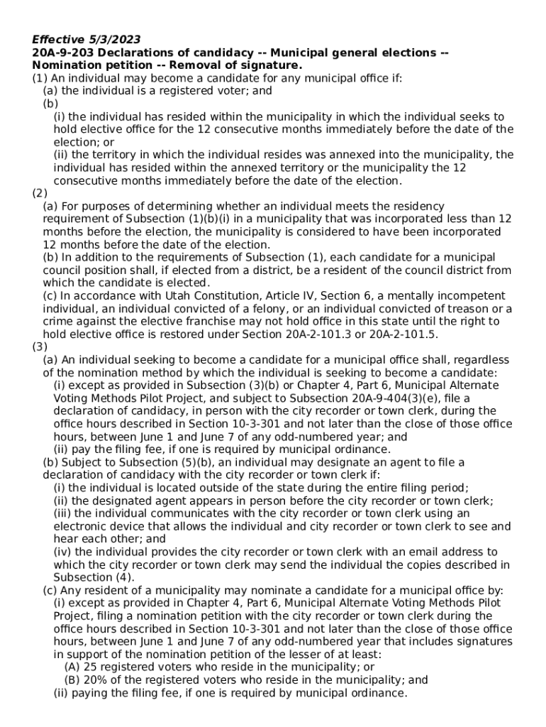
Effective 5/3/2023 20A9203Declarations of candidacy Municipal general elections Nomination petition Removal of signature. (1) An individual may become a candidate for any municipal office if: (a)
We are not affiliated with any brand or entity on this form

Get, Create, Make and Sign section 351305deadline for filing

Edit
Edit your section 351305deadline for filing form online
Type text, complete fillable fields, insert images, highlight or blackout data for discretion, add comments, and more.
Add
Add your legally-binding signature
Draw or type your signature, upload a signature image, or capture it with your digital camera.
Share
Share your form instantly
Email, fax, or share your section 351305deadline for filing form via URL. You can also download, print, or export forms to your preferred cloud storage service.

Editing section 351305deadline for filing online

9.5
Ease of Setup
pdfFiller User Ratings on G2
9.0
Ease of Use
pdfFiller User Ratings on G2
To use our professional PDF editor, follow these steps:
1
Set up an account. If you are a new user, click Start Free Trial and establish a profile.
2
Upload a document. Select Add New on your Dashboard and transfer a file into the system in one of the following ways: by uploading it from your device or importing from the cloud, web, or internal mail. Then, click Start editing.
3
Edit section 351305deadline for filing. Add and change text, add new objects, move pages, add watermarks and page numbers, and more. Then click Done when you're done editing and go to the Documents tab to merge or split the file. If you want to lock or unlock the file, click the lock or unlock button.
4
Save your file. Select it in the list of your records. Then, move the cursor to the right toolbar and choose one of the available exporting methods: save it in multiple formats, download it as a PDF, send it by email, or store it in the cloud.
Dealing with documents is always simple with pdfFiller.

Uncompromising security for your PDF editing and eSignature needs

Your private information is safe with pdfFiller. We employ end-to-end encryption, secure cloud storage, and advanced access control to protect your documents and maintain regulatory compliance.
GDPR
AICPA SOC 2
PCI
HIPAA
CCPA
FDA

How to fill out section 351305deadline for filing

Illustration

How to fill out section 351305deadline for filing

01
To fill out section 351305deadline for filing, follow these steps:
02
Gather all the necessary information and documents for the filing.
03
Go to the official website of the respective authority or organization responsible for the section 351305deadline for filing.
04
Navigate to the appropriate section or form for filing.
05
Carefully read and understand the instructions provided for filling out the form.
06
Fill out the required fields in the form accurately and completely.
07
Double-check all the information entered to ensure its accuracy.
08
Attach any supporting documents as required.
09
Review the form once again to make sure everything is filled correctly.
10
Submit the filled form within the specified deadline.
11
Keep a copy of the submitted form for your records.

Who needs section 351305deadline for filing?

01
Anyone who is required by law or regulation to provide information or file documents related to section 351305deadline needs to fill out section 351305deadline for filing.
02
This can include individuals, businesses, organizations, or any other entities that fall under the jurisdiction of the authority or organization responsible for section 351305deadline.

What is Section 3513.05Deadline for filing declaration of candidacy. - le utah Form?

The Section 3513.05Deadline for filing declaration of candidacy. - le utah is a fillable form in MS Word extension which can be filled-out and signed for certain needs. Next, it is provided to the actual addressee in order to provide certain details of any kinds. The completion and signing is available or with a trusted tool e. g. PDFfiller. Such applications help to fill out any PDF or Word file without printing them out. It also lets you edit it depending on your needs and put an official legal e-signature. Once you're good, the user ought to send the Section 3513.05Deadline for filing declaration of candidacy. - le utah to the recipient or several of them by email or fax. PDFfiller includes a feature and options that make your template printable. It has a number of settings for printing out. It doesn't matter how you will distribute a document - physically or by email - it will always look well-designed and clear. To not to create a new writable document from the beginning all the time, turn the original Word file as a template. Later, you will have a customizable sample.

Instructions for the Section 3513.05Deadline for filing declaration of candidacy. - le utah form

Prior to start completing the Section 3513.05Deadline for filing declaration of candidacy. - le utah fillable form, you ought to make clear that all required info is well prepared. This one is significant, as long as mistakes can lead to unwanted consequences. It's actually unpleasant and time-consuming to resubmit forcedly whole word template, not even mentioning penalties resulted from blown due dates. Handling the digits takes more concentration. At first sight, there is nothing complicated about it. Nonetheless, there is nothing to make a typo. Professionals advise to store all required information and get it separately in a different file. Once you have a writable sample, it will be easy to export this information from the document. Anyway, it's up to you how far can you go to provide accurate and correct info. Check the information in your Section 3513.05Deadline for filing declaration of candidacy. - le utah form carefully when completing all important fields. You also use the editing tool in order to correct all mistakes if there remains any.

How to fill Section 3513.05Deadline for filing declaration of candidacy. - le utah word template

To start submitting the form Section 3513.05Deadline for filing declaration of candidacy. - le utah, you will need a template of it. When you use PDFfiller for completion and filing, you can find it in several ways:

  • Look for the Section 3513.05Deadline for filing declaration of candidacy. - le utah form in PDFfiller’s filebase.
  • You can also upload the template via your device in Word or PDF format.
  • Finally, you can create a document to meet your specific purposes in PDF creation tool adding all necessary object via editor.

No matter what option you prefer, you'll get all editing tools at your disposal. The difference is, the form from the library contains the required fillable fields, you should create them on your own in the rest 2 options. Nevertheless, this action is quite easy and makes your sample really convenient to fill out. The fields can be easily placed on the pages, you can delete them too. There are many types of them based on their functions, whether you need to type in text, date, or place checkmarks. There is also a signing field if you need the writable document to be signed by other people. You can sign it yourself via signing feature. Once you're done, all you need to do is press the Done button and pass to the distribution of the form.

Fill form : Try Risk Free
Users Most Likely To Recommend - Summer 2025
Grid Leader in Small-Business - Summer 2025
High Performer - Summer 2025
Regional Leader - Summer 2025
Easiest To Do Business With - Summer 2025
Best Meets Requirements- Summer 2025
Rate the form
4.4
Satisfied
46 Votes

For pdfFiller’s FAQs

Below is a list of the most common customer questions. If you can’t find an answer to your question, please don’t hesitate to reach out to us.

The editing procedure is simple with pdfFiller. Open your section 351305deadline for filing in the editor. You may also add photos, draw arrows and lines, insert sticky notes and text boxes, and more.
The pdfFiller apps for iOS and Android smartphones are available in the Apple Store and Google Play Store. You may also get the program at https://edit-pdf-ios-android.pdffiller.com/. Open the web app, sign in, and start editing section 351305deadline for filing.
Get and install the pdfFiller application for iOS. Next, open the app and log in or create an account to get access to all of the solution’s editing features. To open your section 351305deadline for filing, upload it from your device or cloud storage, or enter the document URL. After you complete all of the required fields within the document and eSign it (if that is needed), you can save it or share it with others.
The deadline for filing section 351305 is the date by which certain information must be submitted to the relevant authority.
Entities or individuals who meet the criteria for filing section 351305 must submit the required information.
Section 351305 should be filled out according to the instructions provided by the relevant authority.
The purpose of section 351305 is to ensure that relevant information is reported to the appropriate authority.
The information required to be reported on section 351305 will depend on the specific requirements set forth by the relevant authority.
Fill out your section 351305deadline for filing online with pdfFiller!

pdfFiller is an end-to-end solution for managing, creating, and editing documents and forms in the cloud. Save time and hassle by preparing your tax forms online.

Get started now
Form preview
If you believe that this page should be taken down, please follow our DMCA take down process here .
This form may include fields for payment information. Data entered in these fields is not covered by PCI DSS compliance.