Form preview

Get the free STUDENT SAFETY CONTRACT - J. Seguin Science - OLOL template

Get Form
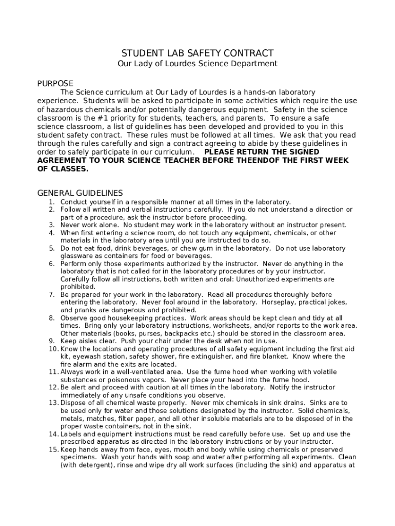
STUDENT LAB SAFETY CONTRACT Our Lady of Lourdes Science DepartmentPURPOSE The Science curriculum at Our Lady of Lourdes is a Hanson laboratory experience. Students will be asked to participate in
We are not affiliated with any brand or entity on this form

Get, Create, Make and Sign student safety contract

Edit
Edit your student safety contract form online
Type text, complete fillable fields, insert images, highlight or blackout data for discretion, add comments, and more.
Add
Add your legally-binding signature
Draw or type your signature, upload a signature image, or capture it with your digital camera.
Share
Share your form instantly
Email, fax, or share your student safety contract form via URL. You can also download, print, or export forms to your preferred cloud storage service.

How to edit student safety contract online

9.5
Ease of Setup
pdfFiller User Ratings on G2
9.0
Ease of Use
pdfFiller User Ratings on G2
Use the instructions below to start using our professional PDF editor:
1
Set up an account. If you are a new user, click Start Free Trial and establish a profile.
2
Upload a file. Select Add New on your Dashboard and upload a file from your device or import it from the cloud, online, or internal mail. Then click Edit.
3
Edit student safety contract. Rearrange and rotate pages, add new and changed texts, add new objects, and use other useful tools. When you're done, click Done. You can use the Documents tab to merge, split, lock, or unlock your files.
4
Get your file. Select your file from the documents list and pick your export method. You may save it as a PDF, email it, or upload it to the cloud.
With pdfFiller, dealing with documents is always straightforward.

Uncompromising security for your PDF editing and eSignature needs

Your private information is safe with pdfFiller. We employ end-to-end encryption, secure cloud storage, and advanced access control to protect your documents and maintain regulatory compliance.
GDPR
AICPA SOC 2
PCI
HIPAA
CCPA
FDA

How to fill out student safety contract

Illustration

How to fill out student safety contract

01
Start by reading the student safety contract thoroughly to understand the terms and conditions.
02
Fill out your personal information accurately, including your full name, contact details, and any other required information.
03
Ensure to provide emergency contact details, such as the name and phone number of a trusted individual.
04
Familiarize yourself with the safety rules and guidelines mentioned in the contract.
05
Sign and date the contract to acknowledge that you have read and agreed to abide by the safety rules.
06
Keep a copy of the signed contract for your records.
07
If you have any questions or concerns regarding the contract, seek clarification from the relevant authorities or responsible party.

Who needs student safety contract?

01
The student safety contract is typically required for students who are participating in activities or programs that involve potential risks or hazards. This may include educational institutions, sports organizations, extracurricular activities, study abroad programs, internships, and other similar situations. It aims to ensure that students understand and comply with safety protocols to minimize the risk of accidents or injuries.

What is STUDENT SAFETY CONTRACT - J. Seguin Science - OLOL Form?

The STUDENT SAFETY CONTRACT - J. Seguin Science - OLOL is a fillable form in MS Word extension that has to be completed and signed for specified purposes. Then, it is furnished to the relevant addressee to provide specific information and data. The completion and signing is available or with an appropriate solution like PDFfiller. Such applications help to fill out any PDF or Word file online. It also lets you customize it depending on your needs and put a legal digital signature. Once you're good, the user sends the STUDENT SAFETY CONTRACT - J. Seguin Science - OLOL to the recipient or several ones by mail and even fax. PDFfiller has got a feature and options that make your blank printable. It includes a variety of options when printing out. It does no matter how you'll send a document - in hard copy or by email - it will always look professional and organized. In order not to create a new file from the beginning over and over, make the original Word file into a template. After that, you will have a rewritable sample.

Template STUDENT SAFETY CONTRACT - J. Seguin Science - OLOL instructions

Once you're about to fill out STUDENT SAFETY CONTRACT - J. Seguin Science - OLOL Word form, remember to prepared enough of necessary information. It is a very important part, because errors can bring unpleasant consequences beginning from re-submission of the whole word form and finishing with deadlines missed and you might be charged a penalty fee. You have to be especially observative when writing down digits. At first sight, it might seem to be not challenging thing. Nevertheless, you might well make a mistake. Some use some sort of a lifehack keeping their records in another file or a record book and then attach it's content into document template. Nevertheless, come up with all efforts and provide valid and correct information in your STUDENT SAFETY CONTRACT - J. Seguin Science - OLOL word template, and check it twice when filling out the required fields. If you find a mistake, you can easily make corrections when working with PDFfiller application without blowing deadlines.

How to fill out STUDENT SAFETY CONTRACT - J. Seguin Science - OLOL

First thing you will need to begin filling out STUDENT SAFETY CONTRACT - J. Seguin Science - OLOL fillable template is exactly template of it. For PDFfiller users, there are these options how you can get it:

  • Search for the STUDENT SAFETY CONTRACT - J. Seguin Science - OLOL form in the Search box on the top of the main page.
  • If you have required template in Word or PDF format on your device, upload it to the editor.
  • If there is no the form you need in catalogue or your storage space, generate it for yourself using the editing and form building features.

It doesn't matter what option you favor, it will be possible to edit the form and add more different nice elements in it. Nonetheless, if you need a form that contains all fillable fields from the box, you can obtain it only from the filebase. The rest 2 options are short of this feature, so you need to insert fields yourself. Nevertheless, it is quite simple and fast to do. After you finish it, you'll have a convenient form to be submitted. These fillable fields are easy to put whenever you need them in the document and can be deleted in one click. Each function of the fields corresponds to a separate type: for text, for date, for checkmarks. If you need other people to sign it, there is a corresponding field as well. Signing tool enables you to put your own autograph. When everything is all set, hit Done. And then, you can share your form.

Fill form : Try Risk Free
Users Most Likely To Recommend - Summer 2025
Grid Leader in Small-Business - Summer 2025
High Performer - Summer 2025
Regional Leader - Summer 2025
Easiest To Do Business With - Summer 2025
Best Meets Requirements- Summer 2025
Rate the form
4.8
Satisfied
49 Votes

For pdfFiller’s FAQs

Below is a list of the most common customer questions. If you can’t find an answer to your question, please don’t hesitate to reach out to us.

You certainly can. You get not just a feature-rich PDF editor and fillable form builder with pdfFiller, but also a robust e-signature solution that you can add right to your Chrome browser. You may use our addon to produce a legally enforceable eSignature by typing, sketching, or photographing your signature with your webcam. Choose your preferred method and eSign your student safety contract in minutes.
Yes, you can. With the pdfFiller mobile app, you can instantly edit, share, and sign student safety contract on your iOS device. Get it at the Apple Store and install it in seconds. The application is free, but you will have to create an account to purchase a subscription or activate a free trial.
Use the pdfFiller mobile app and complete your student safety contract and other documents on your Android device. The app provides you with all essential document management features, such as editing content, eSigning, annotating, sharing files, etc. You will have access to your documents at any time, as long as there is an internet connection.
A student safety contract is a formal agreement designed to ensure the safety and well-being of students, outlining the responsibilities of both students and educational institutions regarding safety protocols.
Typically, schools and educational institutions are required to file student safety contracts. This may also include specific personnel responsible for student safety.
To fill out a student safety contract, you should gather necessary student information, outline safety policies, ensure compliance with legal requirements, and have the document reviewed and signed by relevant authorities.
The purpose of a student safety contract is to promote a safe learning environment, clarify the expectations and responsibilities of all parties involved, and to ensure compliance with safety regulations.
The information typically required includes student identification details, safety policies, emergency procedures, and acknowledgment of the contract by relevant parties.
Fill out your student safety contract online with pdfFiller!

pdfFiller is an end-to-end solution for managing, creating, and editing documents and forms in the cloud. Save time and hassle by preparing your tax forms online.

Get started now
Form preview
If you believe that this page should be taken down, please follow our DMCA take down process here .
This form may include fields for payment information. Data entered in these fields is not covered by PCI DSS compliance.