Get the free Business Responsibility & Sustainability Report for FY ...
Show details
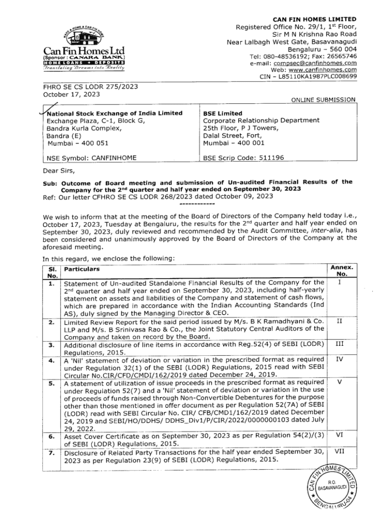
Pt*!CanFinHomesLtd(Sponsor: CA.NARA
[home loansdeposits!C7ran.ifa/ing \'Tircatnx inhi TZaaliiyCAN FIN HOMES LIMITED
Registered Office No. 29/1, 1st Floor,
Sir M N Krishna Rao Road
Near Lalbagh West
We are not affiliated with any brand or entity on this form
Get, Create, Make and Sign business responsibility amp sustainability
Edit your business responsibility amp sustainability form online
Type text, complete fillable fields, insert images, highlight or blackout data for discretion, add comments, and more.
Add your legally-binding signature
Draw or type your signature, upload a signature image, or capture it with your digital camera.
Share your form instantly
Email, fax, or share your business responsibility amp sustainability form via URL. You can also download, print, or export forms to your preferred cloud storage service.
How to edit business responsibility amp sustainability online
Here are the steps you need to follow to get started with our professional PDF editor:
1
Create an account. Begin by choosing Start Free Trial and, if you are a new user, establish a profile.
2
Simply add a document. Select Add New from your Dashboard and import a file into the system by uploading it from your device or importing it via the cloud, online, or internal mail. Then click Begin editing.
3
Edit business responsibility amp sustainability. Add and replace text, insert new objects, rearrange pages, add watermarks and page numbers, and more. Click Done when you are finished editing and go to the Documents tab to merge, split, lock or unlock the file.
4
Save your file. Choose it from the list of records. Then, shift the pointer to the right toolbar and select one of the several exporting methods: save it in multiple formats, download it as a PDF, email it, or save it to the cloud.
With pdfFiller, it's always easy to work with documents. Try it out!
Uncompromising security for your PDF editing and eSignature needs
Your private information is safe with pdfFiller. We employ end-to-end encryption, secure cloud storage, and advanced access control to protect your documents and maintain regulatory compliance.
How to fill out business responsibility amp sustainability
How to fill out business responsibility amp sustainability
01
To fill out business responsibility and sustainability, follow these steps:
02
Understand the concept: Familiarize yourself with what business responsibility and sustainability mean and their importance in today's global business environment.
03
Identify key areas: Determine the specific areas where your business can make a positive impact, such as environmental sustainability, social responsibility, or economic development.
04
Set goals and targets: Define clear and measurable goals that align with your business values and objectives. These goals can include reducing carbon emissions, promoting diversity and inclusion, or supporting community initiatives.
05
Conduct a sustainability assessment: Assess your current business practices, operations, and supply chain to identify areas for improvement and potential risks.
06
Develop an action plan: Based on the assessment results, create a detailed action plan that outlines the steps and strategies needed to achieve your sustainability goals. This plan should include timelines, responsible parties, and resources required.
07
Implement and monitor progress: Put your action plan into action and regularly monitor your progress towards achieving your sustainability goals. This may involve tracking key performance indicators, conducting audits, or seeking external certifications.
08
Engage stakeholders: Involve your employees, customers, suppliers, and other relevant stakeholders in your sustainability efforts. Communicate your goals, progress, and achievements to create awareness and gain support.
09
Continuously improve: Evolve your sustainability initiatives over time by learning from successes and failures, staying updated on best practices, and adapting to changing business and societal needs.
10
Report and communicate: Transparently communicate your sustainability performance through regular reports and disclosures. This can enhance your reputation, attract stakeholders, and inspire others to adopt responsible business practices.
11
Seek partnerships and collaboration: Explore opportunities to collaborate with other businesses, industry associations, or NGOs to collectively address sustainability challenges and drive greater impact.
12
Remember, filling out business responsibility and sustainability is an ongoing process that requires commitment, collaboration, and continuous improvement.
Who needs business responsibility amp sustainability?
01
Business responsibility and sustainability is needed by:
02
Businesses of all sizes and industries: Regardless of their size or industry, all businesses have a responsibility to operate in a sustainable and responsible manner. This includes minimizing their environmental impact, ensuring ethical business practices, and contributing positively to society.
03
Consumers: Consumers are increasingly conscious of their purchasing decisions and prefer to support businesses that prioritize sustainability. Implementing responsible business practices can help attract and retain environmentally and socially aware customers.
04
Investors and shareholders: Investors and shareholders are placing greater importance on sustainability performance when making investment decisions. Adopting business responsibility and sustainability practices can attract investment, enhance shareholder value, and mitigate risks.
05
Employees: Employees are seeking to work for organizations that align with their values and offer meaningful work. Demonstrating a commitment to business responsibility and sustainability can help attract, motivate, and retain talented employees.
06
Governments and regulators: Governments and regulatory bodies are introducing stricter environmental and social regulations. By proactively integrating sustainable practices, businesses can comply with these regulations and avoid potential penalties or reputational damage.
07
Local communities: Businesses play a significant role in the communities they operate in. Embracing business responsibility and sustainability can help build positive relationships with local communities, improve reputation, and contribute to community development.
08
Future generations: Embracing business responsibility and sustainability is essential for ensuring a better future for generations to come. By adopting sustainable practices, businesses can help protect the environment, promote social equity, and create long-term economic stability.
09
In summary, business responsibility and sustainability is relevant and beneficial for a wide range of stakeholders, including businesses themselves, consumers, investors, employees, governments, local communities, and future generations.
Fill
form
: Try Risk Free
For pdfFiller’s FAQs
Below is a list of the most common customer questions. If you can’t find an answer to your question, please don’t hesitate to reach out to us.
Can I create an eSignature for the business responsibility amp sustainability in Gmail?
Upload, type, or draw a signature in Gmail with the help of pdfFiller’s add-on. pdfFiller enables you to eSign your business responsibility amp sustainability and other documents right in your inbox. Register your account in order to save signed documents and your personal signatures.
How do I edit business responsibility amp sustainability on an iOS device?
No, you can't. With the pdfFiller app for iOS, you can edit, share, and sign business responsibility amp sustainability right away. At the Apple Store, you can buy and install it in a matter of seconds. The app is free, but you will need to set up an account if you want to buy a subscription or start a free trial.
Can I edit business responsibility amp sustainability on an Android device?
The pdfFiller app for Android allows you to edit PDF files like business responsibility amp sustainability. Mobile document editing, signing, and sending. Install the app to ease document management anywhere.
What is business responsibility amp sustainability?
Business responsibility and sustainability refer to the ethical obligations of businesses to operate in a way that is socially responsible and environmentally sustainable, ensuring long-term viability and positive impact on society.
Who is required to file business responsibility amp sustainability?
Typically, large companies and listed entities are required to file business responsibility and sustainability reports to disclose their practices and performance regarding sustainability and social responsibility.
How to fill out business responsibility amp sustainability?
Businesses can fill out the business responsibility and sustainability report by gathering data on their practices, impacts, and policies regarding environmental, social, and governance factors, and summarizing this information in accordance with applicable reporting frameworks.
What is the purpose of business responsibility amp sustainability?
The purpose is to promote transparency, hold businesses accountable for their impact on society and the environment, and to encourage best practices that contribute to sustainable development.
What information must be reported on business responsibility amp sustainability?
Companies must report on various aspects such as environmental impact, social initiatives, governance practices, stakeholder engagement, and goals for sustainability.
Fill out your business responsibility amp sustainability online with pdfFiller!
pdfFiller is an end-to-end solution for managing, creating, and editing documents and forms in the cloud. Save time and hassle by preparing your tax forms online.
Business Responsibility Amp Sustainability is not the form you're looking for?Search for another form here.
Relevant keywords
Related Forms
If you believe that this page should be taken down, please follow our DMCA take down process
here
.
This form may include fields for payment information. Data entered in these fields is not covered by PCI DSS compliance.