Get the free Hydrant Meter Request Form
Show details
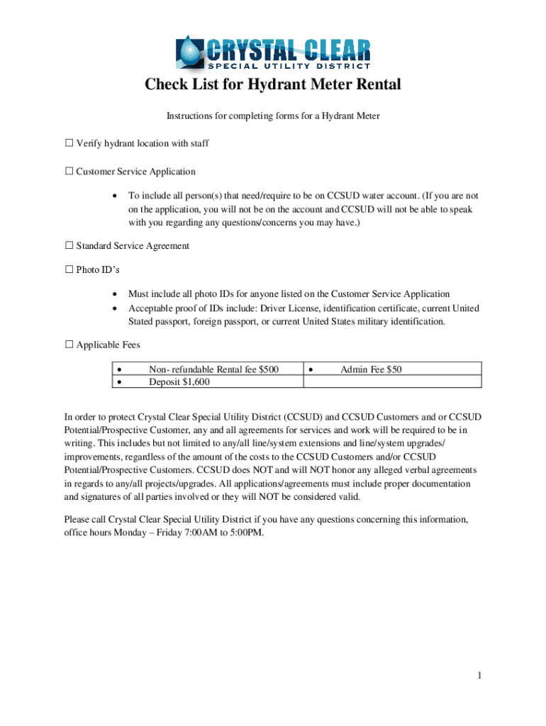
Check List for Hydrant Meter Rental Instructions for completing forms for a Hydrant Meter Verify hydrant location with staff Customer Service Application To include all person(s) that need/require
We are not affiliated with any brand or entity on this form
Get, Create, Make and Sign hydrant meter request form
Edit your hydrant meter request form form online
Type text, complete fillable fields, insert images, highlight or blackout data for discretion, add comments, and more.
Add your legally-binding signature
Draw or type your signature, upload a signature image, or capture it with your digital camera.
Share your form instantly
Email, fax, or share your hydrant meter request form form via URL. You can also download, print, or export forms to your preferred cloud storage service.
Editing hydrant meter request form online
To use our professional PDF editor, follow these steps:
1
Set up an account. If you are a new user, click Start Free Trial and establish a profile.
2
Prepare a file. Use the Add New button. Then upload your file to the system from your device, importing it from internal mail, the cloud, or by adding its URL.
3
Edit hydrant meter request form. Rearrange and rotate pages, insert new and alter existing texts, add new objects, and take advantage of other helpful tools. Click Done to apply changes and return to your Dashboard. Go to the Documents tab to access merging, splitting, locking, or unlocking functions.
4
Save your file. Select it from your records list. Then, click the right toolbar and select one of the various exporting options: save in numerous formats, download as PDF, email, or cloud.
With pdfFiller, it's always easy to work with documents.
Uncompromising security for your PDF editing and eSignature needs
Your private information is safe with pdfFiller. We employ end-to-end encryption, secure cloud storage, and advanced access control to protect your documents and maintain regulatory compliance.
How to fill out hydrant meter request form
How to fill out hydrant meter request form
01
Obtain the hydrant meter request form from the local water department or utility company.
02
Fill out your personal information including name, address, and contact information.
03
Provide details about the location where the hydrant meter will be used.
04
Indicate the duration for which you will need the hydrant meter.
05
Sign and date the form to certify the information provided.
Who needs hydrant meter request form?
01
Contractors who need temporary access to water from a fire hydrant for construction or other purposes.
02
Event planners who require water supply for outdoor events or festivals.
03
Municipal or government agencies for emergency response situations.
Fill
form
: Try Risk Free
For pdfFiller’s FAQs
Below is a list of the most common customer questions. If you can’t find an answer to your question, please don’t hesitate to reach out to us.
How do I modify my hydrant meter request form in Gmail?
It's easy to use pdfFiller's Gmail add-on to make and edit your hydrant meter request form and any other documents you get right in your email. You can also eSign them. Take a look at the Google Workspace Marketplace and get pdfFiller for Gmail. Get rid of the time-consuming steps and easily manage your documents and eSignatures with the help of an app.
Where do I find hydrant meter request form?
The premium pdfFiller subscription gives you access to over 25M fillable templates that you can download, fill out, print, and sign. The library has state-specific hydrant meter request form and other forms. Find the template you need and change it using powerful tools.
How do I edit hydrant meter request form on an iOS device?
Create, edit, and share hydrant meter request form from your iOS smartphone with the pdfFiller mobile app. Installing it from the Apple Store takes only a few seconds. You may take advantage of a free trial and select a subscription that meets your needs.
What is hydrant meter request form?
The hydrant meter request form is a document that individuals or organizations submit to request the use of a hydrant meter for water access and consumption.
Who is required to file hydrant meter request form?
Anyone who wishes to use a hydrant for water services, typically including contractors, landscapers, or event organizers, is required to file the hydrant meter request form.
How to fill out hydrant meter request form?
To fill out the hydrant meter request form, applicants must provide their contact information, details about the project or purpose of use, desired dates, and specific hydrant location.
What is the purpose of hydrant meter request form?
The purpose of the hydrant meter request form is to regulate and track the use of municipal water supplies to ensure efficiency, accountability, and to prevent unauthorized usage.
What information must be reported on hydrant meter request form?
The information that must be reported includes the applicant's name and contact details, project description, intended use, exact hydrant location, and duration of use.
Fill out your hydrant meter request form online with pdfFiller!
pdfFiller is an end-to-end solution for managing, creating, and editing documents and forms in the cloud. Save time and hassle by preparing your tax forms online.
Hydrant Meter Request Form is not the form you're looking for?Search for another form here.
Relevant keywords
Related Forms
If you believe that this page should be taken down, please follow our DMCA take down process
here
.
This form may include fields for payment information. Data entered in these fields is not covered by PCI DSS compliance.