Get the free Scholarships Database
Show details
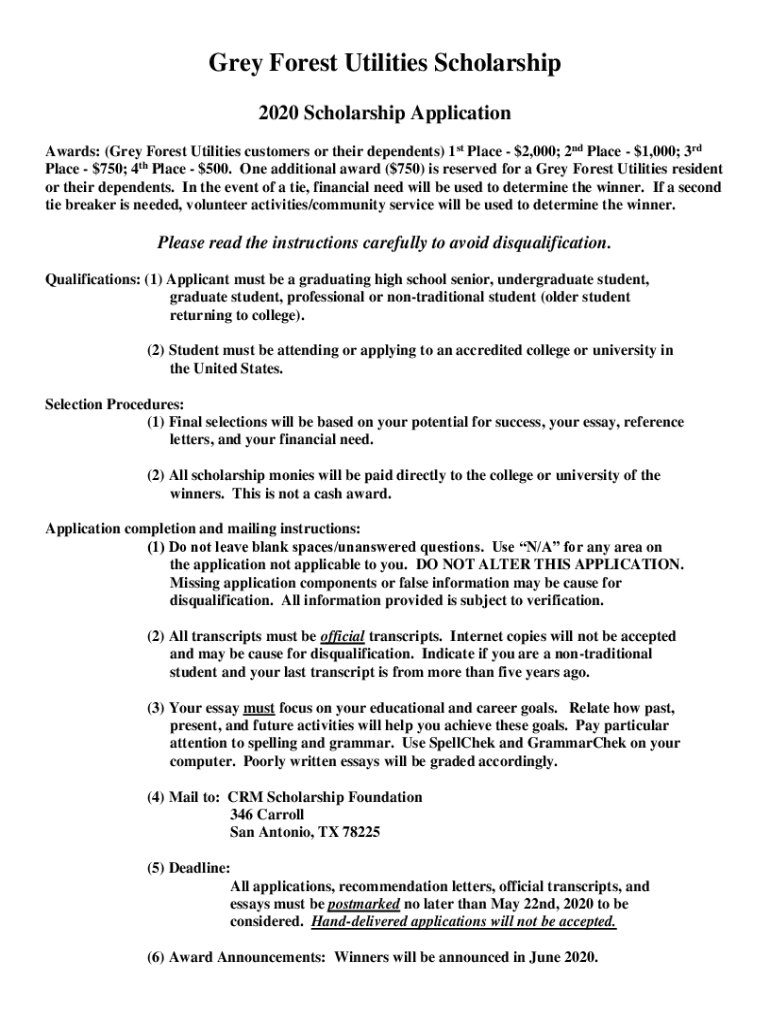
Grey Forest Utilities Scholarship 2020 Scholarship Application Awards: (Grey Forest Utilities customers or their dependents) 1st Place $2,000; 2nd Place $1,000; 3rd Place $750; 4th Place $500. One
We are not affiliated with any brand or entity on this form
Get, Create, Make and Sign scholarships database
Edit your scholarships database form online
Type text, complete fillable fields, insert images, highlight or blackout data for discretion, add comments, and more.
Add your legally-binding signature
Draw or type your signature, upload a signature image, or capture it with your digital camera.
Share your form instantly
Email, fax, or share your scholarships database form via URL. You can also download, print, or export forms to your preferred cloud storage service.
How to edit scholarships database online
Here are the steps you need to follow to get started with our professional PDF editor:
1
Sign into your account. If you don't have a profile yet, click Start Free Trial and sign up for one.
2
Simply add a document. Select Add New from your Dashboard and import a file into the system by uploading it from your device or importing it via the cloud, online, or internal mail. Then click Begin editing.
3
Edit scholarships database. Rearrange and rotate pages, add and edit text, and use additional tools. To save changes and return to your Dashboard, click Done. The Documents tab allows you to merge, divide, lock, or unlock files.
4
Save your file. Select it from your list of records. Then, move your cursor to the right toolbar and choose one of the exporting options. You can save it in multiple formats, download it as a PDF, send it by email, or store it in the cloud, among other things.
With pdfFiller, it's always easy to work with documents. Try it out!
Uncompromising security for your PDF editing and eSignature needs
Your private information is safe with pdfFiller. We employ end-to-end encryption, secure cloud storage, and advanced access control to protect your documents and maintain regulatory compliance.
How to fill out scholarships database
How to fill out scholarships database
01
Research and identify relevant scholarships available.
02
Gather all necessary information required for application such as transcripts, letter of recommendation, essay, etc.
03
Create an organized database to keep track of all the scholarships you are applying for.
04
Fill out all necessary information accurately and completely for each scholarship in the database.
05
Submit applications before deadlines and keep track of application status.
Who needs scholarships database?
01
Students looking for financial aid to fund their education.
02
School counselors or advisors helping students with scholarship opportunities.
03
Organizations or foundations offering scholarships to applicants.
Fill
form
: Try Risk Free
For pdfFiller’s FAQs
Below is a list of the most common customer questions. If you can’t find an answer to your question, please don’t hesitate to reach out to us.
How do I complete scholarships database online?
Easy online scholarships database completion using pdfFiller. Also, it allows you to legally eSign your form and change original PDF material. Create a free account and manage documents online.
Can I create an eSignature for the scholarships database in Gmail?
Use pdfFiller's Gmail add-on to upload, type, or draw a signature. Your scholarships database and other papers may be signed using pdfFiller. Register for a free account to preserve signed papers and signatures.
Can I edit scholarships database on an Android device?
The pdfFiller app for Android allows you to edit PDF files like scholarships database. Mobile document editing, signing, and sending. Install the app to ease document management anywhere.
What is scholarships database?
The scholarships database is a centralized repository that contains information about various scholarship opportunities available to students, including eligibility criteria, award amounts, and application procedures.
Who is required to file scholarships database?
Educational institutions that offer scholarships, as well as organizations and entities that manage scholarship funds, are required to file the scholarships database.
How to fill out scholarships database?
To fill out the scholarships database, institutions must provide detailed information about each scholarship they offer, including the scholarship name, funding source, eligibility requirements, application deadlines, and selection criteria.
What is the purpose of scholarships database?
The purpose of the scholarships database is to streamline the management of scholarship information, ensure compliance with reporting requirements, and make it easier for students to find and apply for scholarships.
What information must be reported on scholarships database?
The information that must be reported includes scholarship title, sponsoring organization, eligibility criteria, amount awarded, numbers of awards given, and application procedures.
Fill out your scholarships database online with pdfFiller!
pdfFiller is an end-to-end solution for managing, creating, and editing documents and forms in the cloud. Save time and hassle by preparing your tax forms online.
Scholarships Database is not the form you're looking for?Search for another form here.
Relevant keywords
Related Forms
If you believe that this page should be taken down, please follow our DMCA take down process
here
.
This form may include fields for payment information. Data entered in these fields is not covered by PCI DSS compliance.