Form preview

Get the free Emergency Management Innovation Project template

Get Form
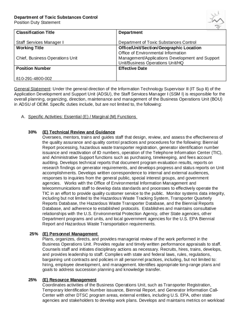
Department of Toxic Substances ControlPosition Duty StatementClassification TitleStaff Services Manager IDepartmentDepartment of Toxic Substances Control Working TitleChief, Business Operations Unit
We are not affiliated with any brand or entity on this form

Get, Create, Make and Sign emergency management innovation project

Edit
Edit your emergency management innovation project form online
Type text, complete fillable fields, insert images, highlight or blackout data for discretion, add comments, and more.
Add
Add your legally-binding signature
Draw or type your signature, upload a signature image, or capture it with your digital camera.
Share
Share your form instantly
Email, fax, or share your emergency management innovation project form via URL. You can also download, print, or export forms to your preferred cloud storage service.

How to edit emergency management innovation project online

9.5
Ease of Setup
pdfFiller User Ratings on G2
9.0
Ease of Use
pdfFiller User Ratings on G2
To use our professional PDF editor, follow these steps:
1
Set up an account. If you are a new user, click Start Free Trial and establish a profile.
2
Upload a document. Select Add New on your Dashboard and transfer a file into the system in one of the following ways: by uploading it from your device or importing from the cloud, web, or internal mail. Then, click Start editing.
3
Edit emergency management innovation project. Rearrange and rotate pages, insert new and alter existing texts, add new objects, and take advantage of other helpful tools. Click Done to apply changes and return to your Dashboard. Go to the Documents tab to access merging, splitting, locking, or unlocking functions.
4
Save your file. Choose it from the list of records. Then, shift the pointer to the right toolbar and select one of the several exporting methods: save it in multiple formats, download it as a PDF, email it, or save it to the cloud.
It's easier to work with documents with pdfFiller than you can have believed. Sign up for a free account to view.

Uncompromising security for your PDF editing and eSignature needs

Your private information is safe with pdfFiller. We employ end-to-end encryption, secure cloud storage, and advanced access control to protect your documents and maintain regulatory compliance.
GDPR
AICPA SOC 2
PCI
HIPAA
CCPA
FDA

How to fill out emergency management innovation project

Illustration

How to fill out emergency management innovation project

01
Identify the problem or need for innovation in emergency management.
02
Develop a detailed project plan outlining goals, objectives, timeline, and resources needed.
03
Gather a team of experts in emergency management, technology, and innovation.
04
Research and identify potential solutions or technologies that can address the problem identified.
05
Test and pilot the chosen solution to ensure it meets the needs of emergency management professionals.
06
Implement the innovation project and monitor its progress to make any necessary adjustments.
07
Evaluate the project's impact and success, and make recommendations for future improvements.

Who needs emergency management innovation project?

01
Emergency management agencies and organizations
02
First responders and public safety officials
03
Disaster response teams and volunteers
04
Communities and individuals at risk of natural or man-made disasters

What is Emergency Management Innovation Project Form?

The Emergency Management Innovation Project is a writable document required to be submitted to the specific address to provide specific info. It has to be completed and signed, which may be done manually, or using a certain software like PDFfiller. This tool lets you complete any PDF or Word document right in the web, customize it according to your requirements and put a legally-binding e-signature. Once after completion, the user can easily send the Emergency Management Innovation Project to the relevant individual, or multiple recipients via email or fax. The editable template is printable as well because of PDFfiller feature and options offered for printing out adjustment. In both digital and in hard copy, your form should have a neat and professional outlook. You may also turn it into a template to use later, there's no need to create a new document from scratch. You need just to customize the ready document.

Instructions for the Emergency Management Innovation Project form

Before filling out Emergency Management Innovation Project Word form, be sure that you prepared all the information required. It's a mandatory part, as far as some typos can cause unpleasant consequences starting with re-submission of the entire template and completing with deadlines missed and even penalties. You need to be observative enough filling out the digits. At a glimpse, you might think of it as to be not challenging thing. Nevertheless, you might well make a mistake. Some people use such lifehack as storing everything in a separate document or a record book and then attach it into documents' samples. Nevertheless, try to make all efforts and present true and correct data in your Emergency Management Innovation Project .doc form, and doublecheck it during the filling out all the fields. If you find a mistake, you can easily make some more amends while using PDFfiller editing tool and avoid missing deadlines.

How should you fill out the Emergency Management Innovation Project template

First thing you will need to start completing Emergency Management Innovation Project fillable template is a fillable sample of it. For PDFfiller users, view the ways down below how you can get it:

  • Search for the Emergency Management Innovation Project form in the Search box on the top of the main page.
  • Upload your own Word template to the editing tool, if you have one.
  • Create the document from the beginning using PDFfiller’s form building tool and add the required elements by using the editing tools.

Regardless of what choice you favor, it will be possible to edit the form and put different nice elements in it. Except for, if you need a form containing all fillable fields, you can obtain it in the filebase only. Other options don’t have this feature, so you'll need to insert fields yourself. Nevertheless, it is really easy and fast to do as well. When you finish this, you will have a convenient document to fill out or send to another person by email. The fillable fields are easy to put when you need them in the word file and can be deleted in one click. Each purpose of the fields matches a separate type: for text, for date, for checkmarks. If you need other individuals to put signatures in it, there is a signature field too. E-sign tool enables you to put your own autograph. When everything is all set, hit Done. After that, you can share your writable form.

Fill form : Try Risk Free
Users Most Likely To Recommend - Summer 2025
Grid Leader in Small-Business - Summer 2025
High Performer - Summer 2025
Regional Leader - Summer 2025
Easiest To Do Business With - Summer 2025
Best Meets Requirements- Summer 2025
Rate the form
4.8
Satisfied
50 Votes

For pdfFiller’s FAQs

Below is a list of the most common customer questions. If you can’t find an answer to your question, please don’t hesitate to reach out to us.

The premium subscription for pdfFiller provides you with access to an extensive library of fillable forms (over 25M fillable templates) that you can download, fill out, print, and sign. You won’t have any trouble finding state-specific emergency management innovation project and other forms in the library. Find the template you need and customize it using advanced editing functionalities.
The pdfFiller mobile app makes it simple to design and fill out legal paperwork. Complete and sign emergency management innovation project and other papers using the app. Visit pdfFiller's website to learn more about the PDF editor's features.
You can make any changes to PDF files, like emergency management innovation project, with the help of the pdfFiller Android app. Edit, sign, and send documents right from your phone or tablet. You can use the app to make document management easier wherever you are.
An emergency management innovation project is a structured initiative aimed at developing new strategies, tools, or technologies to enhance the effectiveness of emergency management practices and response to disasters.
Entities such as local governments, state agencies, non-profit organizations, and other stakeholders involved in emergency management are typically required to file an emergency management innovation project.
To fill out an emergency management innovation project, one must gather relevant information, complete the designated application form, provide details about the project objectives, innovative strategies, expected outcomes, and submit the form by the specified deadline.
The purpose of the emergency management innovation project is to foster the development and implementation of innovative solutions that improve preparedness, response, recovery, and mitigation efforts in emergency management.
Information that must be reported includes project title, description, objectives, budget estimates, timeline, stakeholders involved, and the anticipated impact on emergency management practices.
Fill out your emergency management innovation project online with pdfFiller!

pdfFiller is an end-to-end solution for managing, creating, and editing documents and forms in the cloud. Save time and hassle by preparing your tax forms online.

Get started now
Form preview
If you believe that this page should be taken down, please follow our DMCA take down process here .
This form may include fields for payment information. Data entered in these fields is not covered by PCI DSS compliance.