
Get the free Time Bound Services Notification
Show details
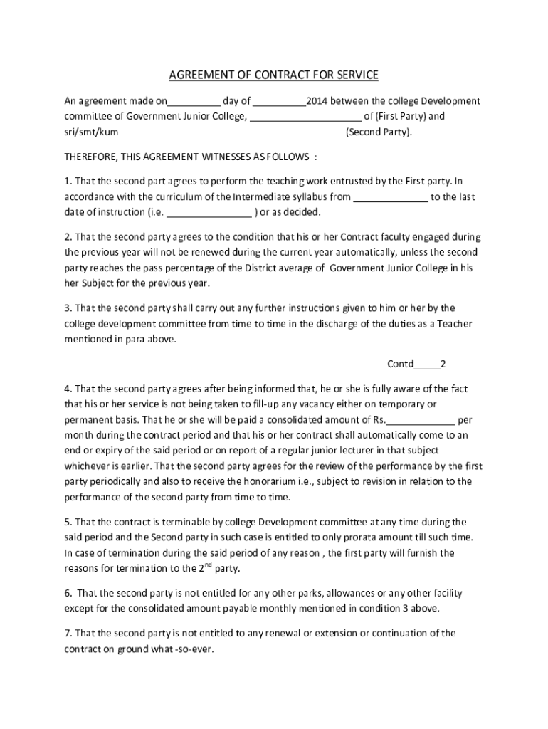
AGREEMENT OF CONTRACT FOR SERVICE
An agreement made on___ day of ___2014 between the college Development
committee of Government Junior College, ___ of (First Party) and
SRI/SMT/km___ (Second Party).
THEREFORE,
We are not affiliated with any brand or entity on this form
Get, Create, Make and Sign time bound services notification

Edit your time bound services notification form online
Type text, complete fillable fields, insert images, highlight or blackout data for discretion, add comments, and more.

Add your legally-binding signature
Draw or type your signature, upload a signature image, or capture it with your digital camera.

Share your form instantly
Email, fax, or share your time bound services notification form via URL. You can also download, print, or export forms to your preferred cloud storage service.
How to edit time bound services notification online
To use our professional PDF editor, follow these steps:
1
Log in. Click Start Free Trial and create a profile if necessary.
2
Upload a file. Select Add New on your Dashboard and upload a file from your device or import it from the cloud, online, or internal mail. Then click Edit.
3
Edit time bound services notification. Rearrange and rotate pages, add new and changed texts, add new objects, and use other useful tools. When you're done, click Done. You can use the Documents tab to merge, split, lock, or unlock your files.
4
Get your file. Select the name of your file in the docs list and choose your preferred exporting method. You can download it as a PDF, save it in another format, send it by email, or transfer it to the cloud.
With pdfFiller, it's always easy to work with documents. Try it!
Uncompromising security for your PDF editing and eSignature needs
Your private information is safe with pdfFiller. We employ end-to-end encryption, secure cloud storage, and advanced access control to protect your documents and maintain regulatory compliance.
How to fill out time bound services notification

How to fill out time bound services notification
01
Obtain the necessary form for the time bound services notification.
02
Fill out all required fields on the form accurately.
03
Include all relevant information such as date, time, and nature of the service.
04
Double check the form for any errors or missing information.
05
Submit the completed form to the appropriate department within the specified time frame.
Who needs time bound services notification?
01
Individuals or businesses who are providing services that have a time constraint or deadline.
02
Service providers who need to inform clients or customers about the timing of their services.
Fill
form
: Try Risk Free
For pdfFiller’s FAQs
Below is a list of the most common customer questions. If you can’t find an answer to your question, please don’t hesitate to reach out to us.
How can I send time bound services notification to be eSigned by others?
When you're ready to share your time bound services notification, you can swiftly email it to others and receive the eSigned document back. You may send your PDF through email, fax, text message, or USPS mail, or you can notarize it online. All of this may be done without ever leaving your account.
How do I execute time bound services notification online?
pdfFiller makes it easy to finish and sign time bound services notification online. It lets you make changes to original PDF content, highlight, black out, erase, and write text anywhere on a page, legally eSign your form, and more, all from one place. Create a free account and use the web to keep track of professional documents.
Can I create an eSignature for the time bound services notification in Gmail?
With pdfFiller's add-on, you may upload, type, or draw a signature in Gmail. You can eSign your time bound services notification and other papers directly in your mailbox with pdfFiller. To preserve signed papers and your personal signatures, create an account.
What is time bound services notification?
Time bound services notification refers to a formal announcement or filing that indicates the timeframe within which specific services must be provided or completed.
Who is required to file time bound services notification?
Businesses and organizations that provide time-sensitive services are typically required to file time bound services notification.
How to fill out time bound services notification?
To fill out a time bound services notification, one must provide detailed information about the services being offered, the expected timelines for completion, and any relevant identifiers or codes.
What is the purpose of time bound services notification?
The purpose of time bound services notification is to ensure transparency and accountability in service delivery, allowing stakeholders to understand timelines and expectations.
What information must be reported on time bound services notification?
The notification must include details such as service descriptions, timelines for each service, responsible parties, and any relevant compliance requirements.
Fill out your time bound services notification online with pdfFiller!
pdfFiller is an end-to-end solution for managing, creating, and editing documents and forms in the cloud. Save time and hassle by preparing your tax forms online.

Time Bound Services Notification is not the form you're looking for?Search for another form here.
Relevant keywords
Related Forms
If you believe that this page should be taken down, please follow our DMCA take down process
here
.
This form may include fields for payment information. Data entered in these fields is not covered by PCI DSS compliance.