Form preview

Get the free Revised Chem. Pickup - medicine okstate template

Get Form
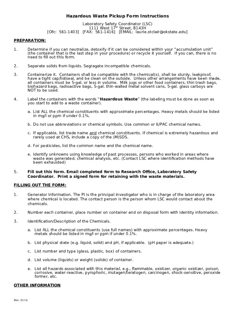
Hazardous Waste Pickup Form InstructionsLaboratory Safety Coordinator (LSC) 1111 West 17th Street, B143H [Ofc: 5611403] [FAX: 5611416] [EMAIL: laurie.stclair@okstate.edu] PREPARATION: 1. Determine
We are not affiliated with any brand or entity on this form

Get, Create, Make and Sign revised chem pickup

Edit
Edit your revised chem pickup form online
Type text, complete fillable fields, insert images, highlight or blackout data for discretion, add comments, and more.
Add
Add your legally-binding signature
Draw or type your signature, upload a signature image, or capture it with your digital camera.
Share
Share your form instantly
Email, fax, or share your revised chem pickup form via URL. You can also download, print, or export forms to your preferred cloud storage service.

How to edit revised chem pickup online

9.5
Ease of Setup
pdfFiller User Ratings on G2
9.0
Ease of Use
pdfFiller User Ratings on G2
To use our professional PDF editor, follow these steps:
1
Log in to your account. Start Free Trial and register a profile if you don't have one.
2
Prepare a file. Use the Add New button. Then upload your file to the system from your device, importing it from internal mail, the cloud, or by adding its URL.
3
Edit revised chem pickup. Rearrange and rotate pages, insert new and alter existing texts, add new objects, and take advantage of other helpful tools. Click Done to apply changes and return to your Dashboard. Go to the Documents tab to access merging, splitting, locking, or unlocking functions.
4
Get your file. Select your file from the documents list and pick your export method. You may save it as a PDF, email it, or upload it to the cloud.
With pdfFiller, dealing with documents is always straightforward.

Uncompromising security for your PDF editing and eSignature needs

Your private information is safe with pdfFiller. We employ end-to-end encryption, secure cloud storage, and advanced access control to protect your documents and maintain regulatory compliance.
GDPR
AICPA SOC 2
PCI
HIPAA
CCPA
FDA

How to fill out revised chem pickup

Illustration

How to fill out revised chem pickup form

01
Make sure you have the revised chem pickup form in hand.
02
Fill out all required fields on the form, such as your name, department, date, time, location, and any special instructions.
03
Indicate the type and quantity of chemicals being picked up, as well as any hazards or special handling instructions.
04
Obtain any necessary signatures from supervisors or safety officers.
05
Submit the completed form to the designated pick-up location or personnel.

Who needs revised chem pickup form?

01
Employees or researchers who are responsible for disposing of or transferring chemicals at a particular facility.

What is Revised Chem. Pickup - medicine okstate Form?

The Revised Chem. Pickup - medicine okstate is a writable document that has to be completed and signed for specific purpose. Then, it is furnished to the actual addressee in order to provide certain info of any kinds. The completion and signing is possible in hard copy or using a suitable tool e. g. PDFfiller. These services help to send in any PDF or Word file without printing out. While doing that, you can customize it according to the needs you have and put legit e-signature. Once finished, the user ought to send the Revised Chem. Pickup - medicine okstate to the recipient or several of them by email or fax. PDFfiller has a feature and options that make your document of MS Word extension printable. It has different settings when printing out appearance. It doesn't matter how you'll file a form after filling it out - in hard copy or electronically - it will always look professional and firm. In order not to create a new file from the beginning again and again, make the original form as a template. Later, you will have an editable sample.

Template Revised Chem. Pickup - medicine okstate instructions

Prior to start filling out the Revised Chem. Pickup - medicine okstate word form, it is important to make clear that all the required data is prepared. This very part is significant, as far as mistakes may result in unpleasant consequences. It is really irritating and time-consuming to re-submit the whole word template, letting alone the penalties came from missed deadlines. To cope with the figures takes more concentration. At first glance, there’s nothing tricky about it. Yet still, there's nothing to make an error. Professionals recommend to save all required information and get it separately in a document. Once you've got a writable template, you can easily export this info from the file. Anyway, it's up to you how far can you go to provide true and correct information. Doublecheck the information in your Revised Chem. Pickup - medicine okstate form when filling out all necessary fields. You can use the editing tool in order to correct all mistakes if there remains any.

How to fill Revised Chem. Pickup - medicine okstate word template

To start completing the form Revised Chem. Pickup - medicine okstate, you need a blank. When using PDFfiller for filling out and filing, you may get it in several ways:

  • Look for the Revised Chem. Pickup - medicine okstate form in PDFfiller’s library.
  • You can also upload the template from your device in Word or PDF format.
  • Finally, you can create a writable document from scratch in PDF creation tool adding all necessary fields in the editor.

No matter what choice you prefer, you will have all editing tools at your disposal. The difference is that the form from the library contains the valid fillable fields, you need to create them on your own in the rest 2 options. Nonetheless, this procedure is dead simple thing and makes your template really convenient to fill out. These fields can be easily placed on the pages, you can delete them as well. There are different types of these fields based on their functions, whether you enter text, date, or put checkmarks. There is also a e-signature field if you need the writable document to be signed by other people. You also can sign it by yourself with the help of the signing tool. Once you're good, all you've left to do is press the Done button and pass to the form distribution.

Fill form : Try Risk Free
Users Most Likely To Recommend - Summer 2025
Grid Leader in Small-Business - Summer 2025
High Performer - Summer 2025
Regional Leader - Summer 2025
Easiest To Do Business With - Summer 2025
Best Meets Requirements- Summer 2025
Rate the form
4.6
Satisfied
44 Votes

For pdfFiller’s FAQs

Below is a list of the most common customer questions. If you can’t find an answer to your question, please don’t hesitate to reach out to us.

You can. With pdfFiller, you get a strong e-signature solution built right into your Chrome browser. Using our addon, you may produce a legally enforceable eSignature by typing, sketching, or photographing it. Choose your preferred method and eSign in minutes.
Upload, type, or draw a signature in Gmail with the help of pdfFiller’s add-on. pdfFiller enables you to eSign your revised chem pickup and other documents right in your inbox. Register your account in order to save signed documents and your personal signatures.
On your mobile device, use the pdfFiller mobile app to complete and sign revised chem pickup. Visit our website (https://edit-pdf-ios-android.pdffiller.com/) to discover more about our mobile applications, the features you'll have access to, and how to get started.
The revised chem pickup form is a document used to report and request the pickup of chemical waste to ensure proper disposal and compliance with regulations.
Entities that generate chemical waste, including laboratories, manufacturing facilities, and other organizations that handle hazardous materials, are required to file the revised chem pickup form.
To fill out the revised chem pickup form, provide accurate details about the type and quantity of chemicals, the location of the waste, contact information, and any special handling instructions.
The purpose of the revised chem pickup form is to facilitate the safe and regulated disposal of chemical waste, ensuring compliance with environmental and safety standards.
Reported information must include the types of chemicals being disposed of, quantities, the physical location for pickup, and contact details of the person responsible for the waste.
Fill out your revised chem pickup online with pdfFiller!

pdfFiller is an end-to-end solution for managing, creating, and editing documents and forms in the cloud. Save time and hassle by preparing your tax forms online.

Get started now
Form preview
If you believe that this page should be taken down, please follow our DMCA take down process here .
This form may include fields for payment information. Data entered in these fields is not covered by PCI DSS compliance.