Get the free Internal Audit of Three Volunteer Fire and Rescue ...
Show details
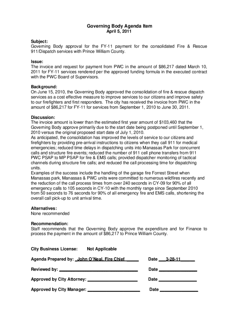
Governing Body Agenda Item April 5, 2011 Subject: Governing Body approval for the FY11 payment for the consolidated Fire & Rescue 911/Dispatch services with Prince William County. Issue: The invoice
We are not affiliated with any brand or entity on this form
Get, Create, Make and Sign internal audit of three
Edit your internal audit of three form online
Type text, complete fillable fields, insert images, highlight or blackout data for discretion, add comments, and more.
Add your legally-binding signature
Draw or type your signature, upload a signature image, or capture it with your digital camera.
Share your form instantly
Email, fax, or share your internal audit of three form via URL. You can also download, print, or export forms to your preferred cloud storage service.
Editing internal audit of three online
To use the professional PDF editor, follow these steps below:
1
Log in to your account. Click on Start Free Trial and sign up a profile if you don't have one.
2
Upload a file. Select Add New on your Dashboard and upload a file from your device or import it from the cloud, online, or internal mail. Then click Edit.
3
Edit internal audit of three. Add and replace text, insert new objects, rearrange pages, add watermarks and page numbers, and more. Click Done when you are finished editing and go to the Documents tab to merge, split, lock or unlock the file.
4
Get your file. Select the name of your file in the docs list and choose your preferred exporting method. You can download it as a PDF, save it in another format, send it by email, or transfer it to the cloud.
With pdfFiller, dealing with documents is always straightforward. Now is the time to try it!
Uncompromising security for your PDF editing and eSignature needs
Your private information is safe with pdfFiller. We employ end-to-end encryption, secure cloud storage, and advanced access control to protect your documents and maintain regulatory compliance.
How to fill out internal audit of three
How to fill out internal audit of three
01
Identify the scope of the internal audit, including the areas and processes to be reviewed.
02
Develop an audit plan outlining the objectives, criteria, and methodology for the audit.
03
Collect data and evidence from the relevant sources to evaluate the effectiveness of controls and compliance with policies.
04
Analyze the findings and document any issues or areas for improvement.
05
Communicate the results of the audit to stakeholders and management, including recommended actions for addressing any deficiencies.
Who needs internal audit of three?
01
Businesses and organizations looking to assess the effectiveness of their internal controls and compliance with policies.
02
Regulatory bodies or government agencies that require companies to conduct regular internal audits to ensure compliance with laws and regulations.
03
Investors, shareholders, and other external stakeholders who want assurance that the company is operating in a responsible and ethical manner.
Fill
form
: Try Risk Free
For pdfFiller’s FAQs
Below is a list of the most common customer questions. If you can’t find an answer to your question, please don’t hesitate to reach out to us.
How do I execute internal audit of three online?
Filling out and eSigning internal audit of three is now simple. The solution allows you to change and reorganize PDF text, add fillable fields, and eSign the document. Start a free trial of pdfFiller, the best document editing solution.
How do I edit internal audit of three online?
With pdfFiller, it's easy to make changes. Open your internal audit of three in the editor, which is very easy to use and understand. When you go there, you'll be able to black out and change text, write and erase, add images, draw lines, arrows, and more. You can also add sticky notes and text boxes.
Can I create an eSignature for the internal audit of three in Gmail?
Create your eSignature using pdfFiller and then eSign your internal audit of three immediately from your email with pdfFiller's Gmail add-on. To keep your signatures and signed papers, you must create an account.
What is internal audit of three?
The internal audit of three is a systematic evaluation process designed to assess the effectiveness and compliance of an organization's internal controls, risk management, and governance processes.
Who is required to file internal audit of three?
Organizations that meet certain regulatory requirements, including but not limited to publicly traded companies, nonprofit organizations, and certain government entities, are required to file an internal audit of three.
How to fill out internal audit of three?
To fill out the internal audit of three, organizations should gather necessary data, follow the prescribed format or template, provide a comprehensive review of their internal controls, document findings, and ensure all required sections are complete before submission.
What is the purpose of internal audit of three?
The purpose of the internal audit of three is to provide independent assurance that an organization's risk management, governance, and internal control processes are operating effectively.
What information must be reported on internal audit of three?
The internal audit of three must report information regarding the scope of the audit, methodologies used, findings, recommendations for improvements, and management's responses to those findings.
Fill out your internal audit of three online with pdfFiller!
pdfFiller is an end-to-end solution for managing, creating, and editing documents and forms in the cloud. Save time and hassle by preparing your tax forms online.
Internal Audit Of Three is not the form you're looking for?Search for another form here.
Relevant keywords
Related Forms
If you believe that this page should be taken down, please follow our DMCA take down process
here
.
This form may include fields for payment information. Data entered in these fields is not covered by PCI DSS compliance.