Get the free Murray Hill residents pursue next steps to ending 'noxious odors'
Show details
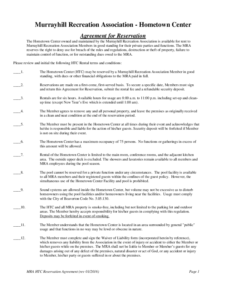
Murrayhill Recreation Association Hometown Center Agreement for Reservation The Hometown Center owned and maintained by the Murrayhill Recreation Association is available for rent to Murrayhill Recreation
We are not affiliated with any brand or entity on this form
Get, Create, Make and Sign murray hill residents pursue
Edit your murray hill residents pursue form online
Type text, complete fillable fields, insert images, highlight or blackout data for discretion, add comments, and more.
Add your legally-binding signature
Draw or type your signature, upload a signature image, or capture it with your digital camera.
Share your form instantly
Email, fax, or share your murray hill residents pursue form via URL. You can also download, print, or export forms to your preferred cloud storage service.
Editing murray hill residents pursue online
To use the professional PDF editor, follow these steps below:
1
Create an account. Begin by choosing Start Free Trial and, if you are a new user, establish a profile.
2
Simply add a document. Select Add New from your Dashboard and import a file into the system by uploading it from your device or importing it via the cloud, online, or internal mail. Then click Begin editing.
3
Edit murray hill residents pursue. Rearrange and rotate pages, add and edit text, and use additional tools. To save changes and return to your Dashboard, click Done. The Documents tab allows you to merge, divide, lock, or unlock files.
4
Save your file. Select it in the list of your records. Then, move the cursor to the right toolbar and choose one of the available exporting methods: save it in multiple formats, download it as a PDF, send it by email, or store it in the cloud.
pdfFiller makes working with documents easier than you could ever imagine. Register for an account and see for yourself!
Uncompromising security for your PDF editing and eSignature needs
Your private information is safe with pdfFiller. We employ end-to-end encryption, secure cloud storage, and advanced access control to protect your documents and maintain regulatory compliance.
How to fill out murray hill residents pursue
How to fill out murray hill residents pursue
01
Visit the Murray Hill Residents Association website or office to obtain the necessary forms.
02
Fill out the personal information section including name, address, and contact details.
03
Provide information about your reasons for pursuing residency in Murray Hill and any relevant background or experience.
04
Submit any required documentation such as proof of residency or references as specified in the application process.
05
Follow up with the association to ensure that your application has been received and processed in a timely manner.
Who needs murray hill residents pursue?
01
Individuals who are interested in becoming official residents of Murray Hill.
02
People who want to be part of the Murray Hill community and participate in local events and initiatives.
03
Those who are looking to establish a sense of belonging and connection within the Murray Hill neighborhood.
Fill
form
: Try Risk Free
For pdfFiller’s FAQs
Below is a list of the most common customer questions. If you can’t find an answer to your question, please don’t hesitate to reach out to us.
How can I send murray hill residents pursue to be eSigned by others?
When your murray hill residents pursue is finished, send it to recipients securely and gather eSignatures with pdfFiller. You may email, text, fax, mail, or notarize a PDF straight from your account. Create an account today to test it.
Can I create an electronic signature for the murray hill residents pursue in Chrome?
As a PDF editor and form builder, pdfFiller has a lot of features. It also has a powerful e-signature tool that you can add to your Chrome browser. With our extension, you can type, draw, or take a picture of your signature with your webcam to make your legally-binding eSignature. Choose how you want to sign your murray hill residents pursue and you'll be done in minutes.
How can I fill out murray hill residents pursue on an iOS device?
pdfFiller has an iOS app that lets you fill out documents on your phone. A subscription to the service means you can make an account or log in to one you already have. As soon as the registration process is done, upload your murray hill residents pursue. You can now use pdfFiller's more advanced features, like adding fillable fields and eSigning documents, as well as accessing them from any device, no matter where you are in the world.
What is murray hill residents pursue?
Murray Hill Residents Pursue refers to a specific filing or application process for residents of the Murray Hill area, which might involve local taxes or residency matters.
Who is required to file murray hill residents pursue?
Residents of the Murray Hill area who meet certain eligibility criteria or income thresholds may be required to file the Murray Hill Residents Pursue.
How to fill out murray hill residents pursue?
To fill out the Murray Hill Residents Pursue, residents should gather necessary documentation, obtain the required forms from the local government, and follow the instructions provided on the form.
What is the purpose of murray hill residents pursue?
The purpose of the Murray Hill Residents Pursue is to ensure compliance with local regulations, tax obligations, or eligibility for community programs.
What information must be reported on murray hill residents pursue?
Information typically required includes personal identification details, residency status, financial information, and any other relevant data as specified in the filing instructions.
Fill out your murray hill residents pursue online with pdfFiller!
pdfFiller is an end-to-end solution for managing, creating, and editing documents and forms in the cloud. Save time and hassle by preparing your tax forms online.
Murray Hill Residents Pursue is not the form you're looking for?Search for another form here.
Relevant keywords
Related Forms
If you believe that this page should be taken down, please follow our DMCA take down process
here
.
This form may include fields for payment information. Data entered in these fields is not covered by PCI DSS compliance.