
Get the free Strengthening the Role of Private Finance in Infrastructure ...
Show details
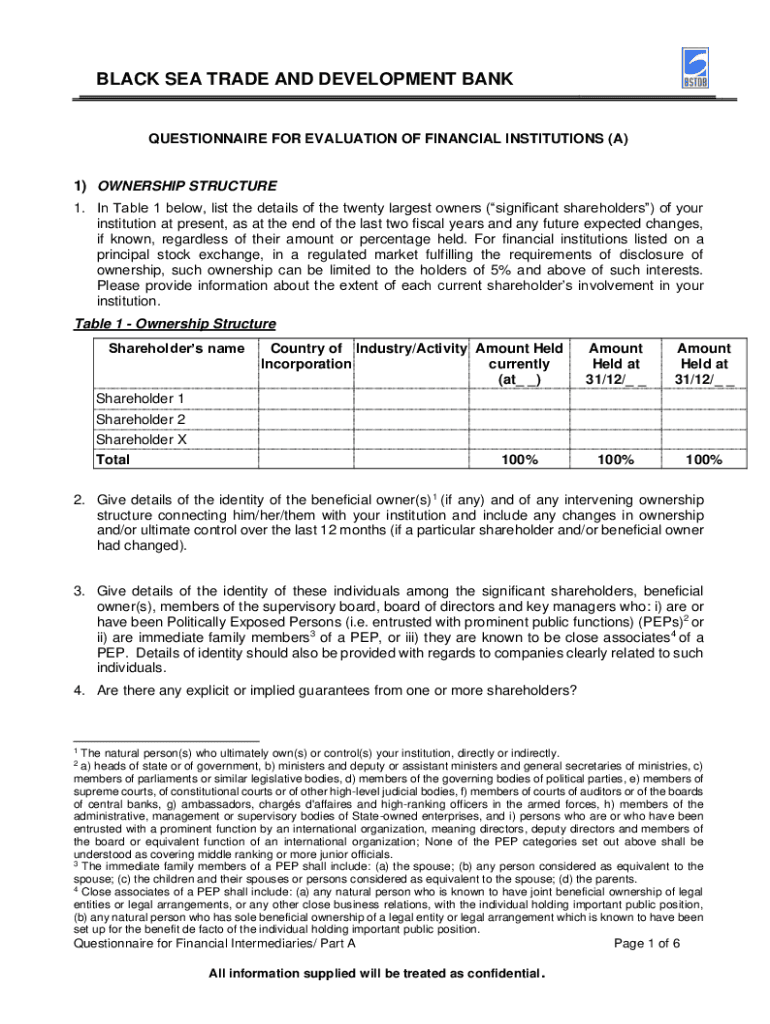
BLACK SEA TRADE AND DEVELOPMENT BANKQUESTIONNAIRE FOR EVALUATION OF FINANCIAL INSTITUTIONS (A)1) OWNERSHIP STRUCTURE 1. In Table 1 below, list the details of the twenty largest owners (significant
We are not affiliated with any brand or entity on this form
Get, Create, Make and Sign strengformning form role of

Edit your strengformning form role of form online
Type text, complete fillable fields, insert images, highlight or blackout data for discretion, add comments, and more.

Add your legally-binding signature
Draw or type your signature, upload a signature image, or capture it with your digital camera.

Share your form instantly
Email, fax, or share your strengformning form role of form via URL. You can also download, print, or export forms to your preferred cloud storage service.
Editing strengformning form role of online
Follow the steps below to benefit from the PDF editor's expertise:
1
Log into your account. If you don't have a profile yet, click Start Free Trial and sign up for one.
2
Upload a document. Select Add New on your Dashboard and transfer a file into the system in one of the following ways: by uploading it from your device or importing from the cloud, web, or internal mail. Then, click Start editing.
3
Edit strengformning form role of. Add and replace text, insert new objects, rearrange pages, add watermarks and page numbers, and more. Click Done when you are finished editing and go to the Documents tab to merge, split, lock or unlock the file.
4
Save your file. Select it in the list of your records. Then, move the cursor to the right toolbar and choose one of the available exporting methods: save it in multiple formats, download it as a PDF, send it by email, or store it in the cloud.
It's easier to work with documents with pdfFiller than you can have ever thought. You can sign up for an account to see for yourself.
Uncompromising security for your PDF editing and eSignature needs
Your private information is safe with pdfFiller. We employ end-to-end encryption, secure cloud storage, and advanced access control to protect your documents and maintain regulatory compliance.
How to fill out strengformning form role of

How to fill out strengformning form role of
01
Make sure you have all the necessary information and documents required to fill out the Strengformning form.
02
Read the instructions carefully and understand the purpose of the form.
03
Fill out the form accurately and truthfully, providing all requested information.
04
Double-check your answers before submitting the form to ensure accuracy.
05
Submit the form through the appropriate channels as instructed.
Who needs strengformning form role of?
01
Individuals who are applying for Strengformning, a form of support for individuals with disabilities, may need to fill out the Strengformning form role of.
Fill
form
: Try Risk Free
For pdfFiller’s FAQs
Below is a list of the most common customer questions. If you can’t find an answer to your question, please don’t hesitate to reach out to us.
How do I complete strengformning form role of online?
Completing and signing strengformning form role of online is easy with pdfFiller. It enables you to edit original PDF content, highlight, blackout, erase and type text anywhere on a page, legally eSign your form, and much more. Create your free account and manage professional documents on the web.
How do I edit strengformning form role of in Chrome?
Add pdfFiller Google Chrome Extension to your web browser to start editing strengformning form role of and other documents directly from a Google search page. The service allows you to make changes in your documents when viewing them in Chrome. Create fillable documents and edit existing PDFs from any internet-connected device with pdfFiller.
Can I create an eSignature for the strengformning form role of in Gmail?
You can easily create your eSignature with pdfFiller and then eSign your strengformning form role of directly from your inbox with the help of pdfFiller’s add-on for Gmail. Please note that you must register for an account in order to save your signatures and signed documents.
What is strengformning form role of?
The strength-forming form role of refers to a specific form used in certain regulatory or compliance situations to report on strength-related metrics or assessments within an organization.
Who is required to file strengformning form role of?
Typically, businesses or organizations that are subject to certain industry regulations or oversight may be required to file the strength-forming form role of, particularly those involved in industries that require performance reporting.
How to fill out strengformning form role of?
To fill out the strength-forming form role of, one must gather the required information, accurately complete each section of the form, and ensure compliance with any specific instructions provided by the regulatory body.
What is the purpose of strengformning form role of?
The purpose of the strength-forming form role of is to provide a standardized method for organizations to report their strength-related metrics and to ensure regulatory compliance within their industry.
What information must be reported on strengformning form role of?
The information required to be reported typically includes metrics related to strength performance, compliance data, identification of the reporting entity, and any other relevant statistics or disclosures as stipulated by the regulatory authority.
Fill out your strengformning form role of online with pdfFiller!
pdfFiller is an end-to-end solution for managing, creating, and editing documents and forms in the cloud. Save time and hassle by preparing your tax forms online.

Strengformning Form Role Of is not the form you're looking for?Search for another form here.
Relevant keywords
Related Forms
If you believe that this page should be taken down, please follow our DMCA take down process
here
.
This form may include fields for payment information. Data entered in these fields is not covered by PCI DSS compliance.