Get the free FORM Application to Host an Event
Show details
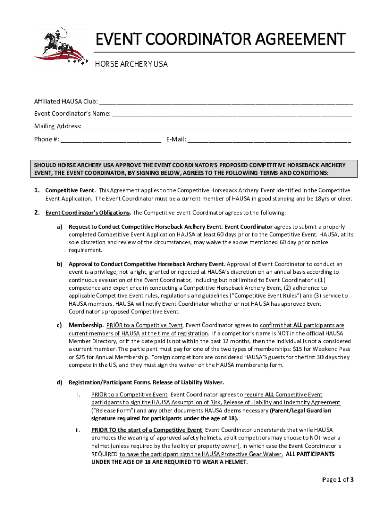
EVENT COORDINATOR AGREEMENT HORSE ARCHERY USAAffiliated HAUSA Club: ___ Event Coordinators Name: ___ Mailing Address: ___ Phone #: ___ EMail: ___ SHOULD HORSE ARCHERY USA APPROVE THE EVENT COORDINATORS
We are not affiliated with any brand or entity on this form
Get, Create, Make and Sign form application to host
Edit your form application to host form online
Type text, complete fillable fields, insert images, highlight or blackout data for discretion, add comments, and more.
Add your legally-binding signature
Draw or type your signature, upload a signature image, or capture it with your digital camera.
Share your form instantly
Email, fax, or share your form application to host form via URL. You can also download, print, or export forms to your preferred cloud storage service.
How to edit form application to host online
Here are the steps you need to follow to get started with our professional PDF editor:
1
Set up an account. If you are a new user, click Start Free Trial and establish a profile.
2
Prepare a file. Use the Add New button. Then upload your file to the system from your device, importing it from internal mail, the cloud, or by adding its URL.
3
Edit form application to host. Rearrange and rotate pages, insert new and alter existing texts, add new objects, and take advantage of other helpful tools. Click Done to apply changes and return to your Dashboard. Go to the Documents tab to access merging, splitting, locking, or unlocking functions.
4
Save your file. Select it in the list of your records. Then, move the cursor to the right toolbar and choose one of the available exporting methods: save it in multiple formats, download it as a PDF, send it by email, or store it in the cloud.
With pdfFiller, it's always easy to work with documents. Check it out!
Uncompromising security for your PDF editing and eSignature needs
Your private information is safe with pdfFiller. We employ end-to-end encryption, secure cloud storage, and advanced access control to protect your documents and maintain regulatory compliance.
How to fill out form application to host
How to fill out form application to host
01
Start by gathering all necessary information and documents required for the application
02
Read through the form carefully and fill out all sections accurately
03
Double check the information provided to ensure accuracy
04
Submit the completed application form according to the instructions provided
Who needs form application to host?
01
Individuals or organizations who wish to host events or gatherings at a specific location
Fill
form
: Try Risk Free
For pdfFiller’s FAQs
Below is a list of the most common customer questions. If you can’t find an answer to your question, please don’t hesitate to reach out to us.
How do I modify my form application to host in Gmail?
Using pdfFiller's Gmail add-on, you can edit, fill out, and sign your form application to host and other papers directly in your email. You may get it through Google Workspace Marketplace. Make better use of your time by handling your papers and eSignatures.
Can I edit form application to host on an iOS device?
Use the pdfFiller app for iOS to make, edit, and share form application to host from your phone. Apple's store will have it up and running in no time. It's possible to get a free trial and choose a subscription plan that fits your needs.
Can I edit form application to host on an Android device?
You can. With the pdfFiller Android app, you can edit, sign, and distribute form application to host from anywhere with an internet connection. Take use of the app's mobile capabilities.
What is form application to host?
The form application to host is a specific document required for entities to apply for hosting services or permissions, detailing their intent and the services they plan to offer.
Who is required to file form application to host?
Any individual or organization seeking to provide hosting services or use certain hosting resources is required to file this form.
How to fill out form application to host?
To fill out the form application to host, provide the necessary information as prompted, including personal or business details, the services to be offered, and any supporting documentation required.
What is the purpose of form application to host?
The purpose of the form application to host is to gather necessary information for evaluating the applicant's eligibility and compliance with hosting regulations.
What information must be reported on form application to host?
Reported information typically includes the applicant's identity, proposed hosting services, business structure, and compliance with relevant laws and guidelines.
Fill out your form application to host online with pdfFiller!
pdfFiller is an end-to-end solution for managing, creating, and editing documents and forms in the cloud. Save time and hassle by preparing your tax forms online.
Form Application To Host is not the form you're looking for?Search for another form here.
Relevant keywords
Related Forms
If you believe that this page should be taken down, please follow our DMCA take down process
here
.
This form may include fields for payment information. Data entered in these fields is not covered by PCI DSS compliance.