
Get the free Brewster Kaleidoscope SocietyWe are a community of artists ...
Show details
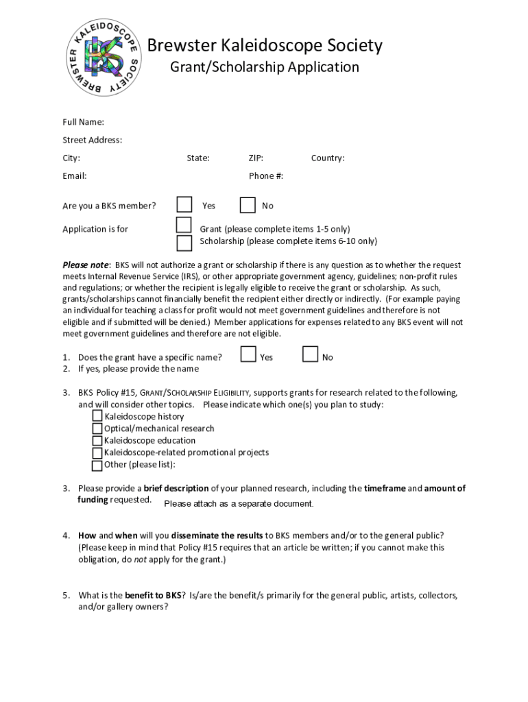
Brewster Kaleidoscope Society Grant/Scholarship ApplicationFull Name: Street Address: City:State:Email:ZIP:Country:Phone #:Are you a BKS member?YesNoApplication is forGrant (please complete items
We are not affiliated with any brand or entity on this form
Get, Create, Make and Sign brewster kaleidoscope societywe are

Edit your brewster kaleidoscope societywe are form online
Type text, complete fillable fields, insert images, highlight or blackout data for discretion, add comments, and more.

Add your legally-binding signature
Draw or type your signature, upload a signature image, or capture it with your digital camera.

Share your form instantly
Email, fax, or share your brewster kaleidoscope societywe are form via URL. You can also download, print, or export forms to your preferred cloud storage service.
Editing brewster kaleidoscope societywe are online
Use the instructions below to start using our professional PDF editor:
1
Sign into your account. If you don't have a profile yet, click Start Free Trial and sign up for one.
2
Prepare a file. Use the Add New button to start a new project. Then, using your device, upload your file to the system by importing it from internal mail, the cloud, or adding its URL.
3
Edit brewster kaleidoscope societywe are. Rearrange and rotate pages, add new and changed texts, add new objects, and use other useful tools. When you're done, click Done. You can use the Documents tab to merge, split, lock, or unlock your files.
4
Get your file. Select your file from the documents list and pick your export method. You may save it as a PDF, email it, or upload it to the cloud.
pdfFiller makes dealing with documents a breeze. Create an account to find out!
Uncompromising security for your PDF editing and eSignature needs
Your private information is safe with pdfFiller. We employ end-to-end encryption, secure cloud storage, and advanced access control to protect your documents and maintain regulatory compliance.
How to fill out brewster kaleidoscope societywe are

How to fill out brewster kaleidoscope societywe are
01
Visit the Brewster Kaleidoscope Society website
02
Click on the 'Membership' or 'Join Us' section
03
Fill out the membership form with your personal information
04
Pay any required membership fees
05
Submit the form online or through mail
Who needs brewster kaleidoscope societywe are?
01
Art enthusiasts
02
Collectors of kaleidoscopes
03
Individuals interested in joining a community of kaleidoscope enthusiasts
04
People looking to support the preservation and promotion of kaleidoscope art
Fill
form
: Try Risk Free
For pdfFiller’s FAQs
Below is a list of the most common customer questions. If you can’t find an answer to your question, please don’t hesitate to reach out to us.
How do I make changes in brewster kaleidoscope societywe are?
With pdfFiller, you may not only alter the content but also rearrange the pages. Upload your brewster kaleidoscope societywe are and modify it with a few clicks. The editor lets you add photos, sticky notes, text boxes, and more to PDFs.
How do I edit brewster kaleidoscope societywe are in Chrome?
Install the pdfFiller Google Chrome Extension to edit brewster kaleidoscope societywe are and other documents straight from Google search results. When reading documents in Chrome, you may edit them. Create fillable PDFs and update existing PDFs using pdfFiller.
How do I fill out brewster kaleidoscope societywe are using my mobile device?
The pdfFiller mobile app makes it simple to design and fill out legal paperwork. Complete and sign brewster kaleidoscope societywe are and other papers using the app. Visit pdfFiller's website to learn more about the PDF editor's features.
What is brewster kaleidoscope societywe are?
The Brewster Kaleidoscope Society is an organization dedicated to the appreciation and promotion of kaleidoscopes and related art forms.
Who is required to file brewster kaleidoscope societywe are?
Members of the Brewster Kaleidoscope Society and anyone participating in society activities may be required to file necessary documentation or reports as per the society's guidelines.
How to fill out brewster kaleidoscope societywe are?
To fill out the Brewster Kaleidoscope Society documentation, members should follow the provided forms and guidelines, ensuring all required information is accurately completed and submitted on time.
What is the purpose of brewster kaleidoscope societywe are?
The purpose of the Brewster Kaleidoscope Society is to foster community among kaleidoscope enthusiasts, promote artistic expression through kaleidoscopes, and facilitate educational opportunities related to kaleidoscope design and art.
What information must be reported on brewster kaleidoscope societywe are?
The information that must be reported typically includes member details, participation in events, financial reports, and any activities related to the promotion of kaleidoscopes.
Fill out your brewster kaleidoscope societywe are online with pdfFiller!
pdfFiller is an end-to-end solution for managing, creating, and editing documents and forms in the cloud. Save time and hassle by preparing your tax forms online.

Brewster Kaleidoscope Societywe Are is not the form you're looking for?Search for another form here.
Relevant keywords
Related Forms
If you believe that this page should be taken down, please follow our DMCA take down process
here
.
This form may include fields for payment information. Data entered in these fields is not covered by PCI DSS compliance.