
Get the free Mid-Atlantic Chapter of URISA - Authorization required
Show details
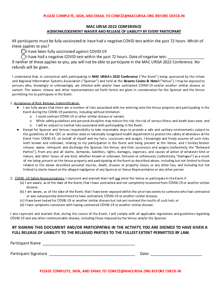
PLEASE COMPLETE, SIGN, AND EMAIL TO CONF22@MACURISA.ORG BEFORE CHECKINMAC URISA 2022 CONFERENCE ACKNOWLEDGEMENT WAIVER AND RELEASE OF LIABILITY BY EVENT PARTICIPANTAll participants must be fully vaccinated
We are not affiliated with any brand or entity on this form
Get, Create, Make and Sign mid-atlantic chapter of urisa

Edit your mid-atlantic chapter of urisa form online
Type text, complete fillable fields, insert images, highlight or blackout data for discretion, add comments, and more.

Add your legally-binding signature
Draw or type your signature, upload a signature image, or capture it with your digital camera.

Share your form instantly
Email, fax, or share your mid-atlantic chapter of urisa form via URL. You can also download, print, or export forms to your preferred cloud storage service.
Editing mid-atlantic chapter of urisa online
Follow the guidelines below to use a professional PDF editor:
1
Log in. Click Start Free Trial and create a profile if necessary.
2
Upload a file. Select Add New on your Dashboard and upload a file from your device or import it from the cloud, online, or internal mail. Then click Edit.
3
Edit mid-atlantic chapter of urisa. Replace text, adding objects, rearranging pages, and more. Then select the Documents tab to combine, divide, lock or unlock the file.
4
Get your file. Select the name of your file in the docs list and choose your preferred exporting method. You can download it as a PDF, save it in another format, send it by email, or transfer it to the cloud.
With pdfFiller, dealing with documents is always straightforward.
Uncompromising security for your PDF editing and eSignature needs
Your private information is safe with pdfFiller. We employ end-to-end encryption, secure cloud storage, and advanced access control to protect your documents and maintain regulatory compliance.
How to fill out mid-atlantic chapter of urisa

How to fill out mid-atlantic chapter of urisa
01
Visit the URISA website and navigate to the Mid-Atlantic Chapter section
02
Locate the membership or registration form for the Mid-Atlantic Chapter
03
Fill out the required fields such as name, contact information, and payment details
04
Submit the form online or via mail as per the instructions provided
Who needs mid-atlantic chapter of urisa?
01
GIS professionals and enthusiasts in the Mid-Atlantic region looking to connect with others in the industry
02
Those seeking networking opportunities, professional development resources, and access to GIS events and conferences
Fill
form
: Try Risk Free
For pdfFiller’s FAQs
Below is a list of the most common customer questions. If you can’t find an answer to your question, please don’t hesitate to reach out to us.
How do I modify my mid-atlantic chapter of urisa in Gmail?
The pdfFiller Gmail add-on lets you create, modify, fill out, and sign mid-atlantic chapter of urisa and other documents directly in your email. Click here to get pdfFiller for Gmail. Eliminate tedious procedures and handle papers and eSignatures easily.
Where do I find mid-atlantic chapter of urisa?
The premium version of pdfFiller gives you access to a huge library of fillable forms (more than 25 million fillable templates). You can download, fill out, print, and sign them all. State-specific mid-atlantic chapter of urisa and other forms will be easy to find in the library. Find the template you need and use advanced editing tools to make it your own.
How do I edit mid-atlantic chapter of urisa on an iOS device?
Create, modify, and share mid-atlantic chapter of urisa using the pdfFiller iOS app. Easy to install from the Apple Store. You may sign up for a free trial and then purchase a membership.
What is mid-atlantic chapter of urisa?
The Mid-Atlantic Chapter of URISA (Urban and Regional Information Systems Association) is a professional organization focused on promoting the use of geospatial technologies and information systems in the Mid-Atlantic region of the United States.
Who is required to file mid-atlantic chapter of urisa?
Members, organizations, and entities that are involved in urban planning, GIS, and related fields within the Mid-Atlantic region are typically required to file with the Mid-Atlantic Chapter of URISA.
How to fill out mid-atlantic chapter of urisa?
Filling out the Mid-Atlantic Chapter of URISA typically involves completing a membership application or a submission form available on the chapter's official website, which may require personal and organizational information.
What is the purpose of mid-atlantic chapter of urisa?
The primary purpose of the Mid-Atlantic Chapter of URISA is to foster collaboration, share knowledge, and promote the effective use of geospatial information technologies among professionals in the region.
What information must be reported on mid-atlantic chapter of urisa?
Information that must be reported includes member details, project updates, attendance at events, and contributions to the organization's goals and initiatives.
Fill out your mid-atlantic chapter of urisa online with pdfFiller!
pdfFiller is an end-to-end solution for managing, creating, and editing documents and forms in the cloud. Save time and hassle by preparing your tax forms online.

Mid-Atlantic Chapter Of Urisa is not the form you're looking for?Search for another form here.
Relevant keywords
Related Forms
If you believe that this page should be taken down, please follow our DMCA take down process
here
.
This form may include fields for payment information. Data entered in these fields is not covered by PCI DSS compliance.