
Get the free Victim Assistance Program's Post
Show details
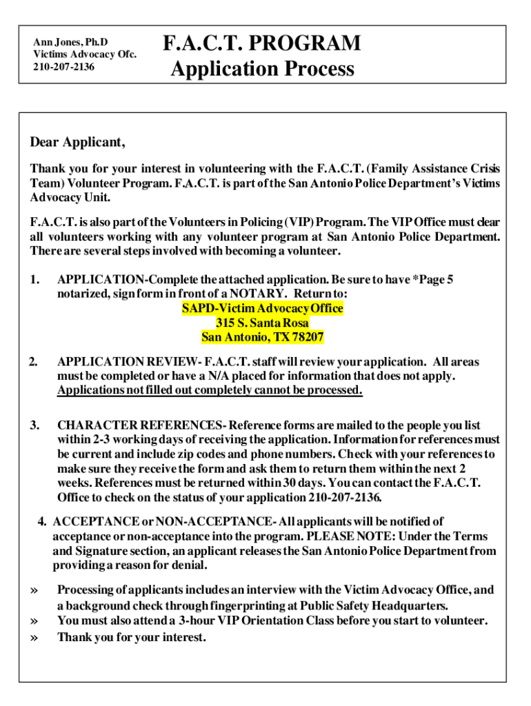
Ann Jones, Ph.D Victims Advocacy Ofc. 2102072136F.A.C.T. PROGRAM Application ProcessDear Applicant, Thank you for your interest in volunteering with the F.A.C.T. (Family Assistance Crisis Team) Volunteer
We are not affiliated with any brand or entity on this form
Get, Create, Make and Sign victim assistance programs post

Edit your victim assistance programs post form online
Type text, complete fillable fields, insert images, highlight or blackout data for discretion, add comments, and more.

Add your legally-binding signature
Draw or type your signature, upload a signature image, or capture it with your digital camera.

Share your form instantly
Email, fax, or share your victim assistance programs post form via URL. You can also download, print, or export forms to your preferred cloud storage service.
How to edit victim assistance programs post online
Here are the steps you need to follow to get started with our professional PDF editor:
1
Set up an account. If you are a new user, click Start Free Trial and establish a profile.
2
Upload a document. Select Add New on your Dashboard and transfer a file into the system in one of the following ways: by uploading it from your device or importing from the cloud, web, or internal mail. Then, click Start editing.
3
Edit victim assistance programs post. Add and replace text, insert new objects, rearrange pages, add watermarks and page numbers, and more. Click Done when you are finished editing and go to the Documents tab to merge, split, lock or unlock the file.
4
Get your file. Select your file from the documents list and pick your export method. You may save it as a PDF, email it, or upload it to the cloud.
The use of pdfFiller makes dealing with documents straightforward. Try it right now!
Uncompromising security for your PDF editing and eSignature needs
Your private information is safe with pdfFiller. We employ end-to-end encryption, secure cloud storage, and advanced access control to protect your documents and maintain regulatory compliance.
How to fill out victim assistance programs post

How to fill out victim assistance programs post
01
Locate the victim assistance program post online or at a local organization
02
Fill out the necessary personal information, such as name, address, and contact information
03
Provide details about the incident or crime that occurred
04
Describe any injuries or losses suffered as a result of the incident
05
Submit the form according to the instructions provided
Who needs victim assistance programs post?
01
Victims of crime or abuse who require assistance in coping with the aftermath
02
Individuals who have experienced trauma and are seeking support and resources
03
Family members of victims who are looking for ways to help their loved ones
Fill
form
: Try Risk Free
For pdfFiller’s FAQs
Below is a list of the most common customer questions. If you can’t find an answer to your question, please don’t hesitate to reach out to us.
How can I edit victim assistance programs post from Google Drive?
People who need to keep track of documents and fill out forms quickly can connect PDF Filler to their Google Docs account. This means that they can make, edit, and sign documents right from their Google Drive. Make your victim assistance programs post into a fillable form that you can manage and sign from any internet-connected device with this add-on.
Can I create an eSignature for the victim assistance programs post in Gmail?
With pdfFiller's add-on, you may upload, type, or draw a signature in Gmail. You can eSign your victim assistance programs post and other papers directly in your mailbox with pdfFiller. To preserve signed papers and your personal signatures, create an account.
How do I complete victim assistance programs post on an iOS device?
In order to fill out documents on your iOS device, install the pdfFiller app. Create an account or log in to an existing one if you have a subscription to the service. Once the registration process is complete, upload your victim assistance programs post. You now can take advantage of pdfFiller's advanced functionalities: adding fillable fields and eSigning documents, and accessing them from any device, wherever you are.
What is victim assistance programs post?
Victim assistance programs post refers to structured initiatives designed to support and aid victims of crime, offering various services such as counseling, legal assistance, and access to resources.
Who is required to file victim assistance programs post?
Organizations and agencies that provide victim assistance services, such as non-profit organizations, government agencies, and certain healthcare providers, are typically required to file victim assistance programs post.
How to fill out victim assistance programs post?
To fill out a victim assistance programs post, follow the provided guidelines and templates, ensuring all required information is accurately recorded and submitted to the appropriate authorities.
What is the purpose of victim assistance programs post?
The purpose of victim assistance programs post is to provide essential support to victims of crime, helping them recover physically, emotionally, and legally while ensuring their rights are upheld.
What information must be reported on victim assistance programs post?
Reports typically must include details such as the number of victims served, types of services provided, outreach efforts, funding sources, and program outcomes.
Fill out your victim assistance programs post online with pdfFiller!
pdfFiller is an end-to-end solution for managing, creating, and editing documents and forms in the cloud. Save time and hassle by preparing your tax forms online.

Victim Assistance Programs Post is not the form you're looking for?Search for another form here.
Relevant keywords
Related Forms
If you believe that this page should be taken down, please follow our DMCA take down process
here
.
This form may include fields for payment information. Data entered in these fields is not covered by PCI DSS compliance.