Get the free New program offering genetic testing for veterans to inform ...
Show details
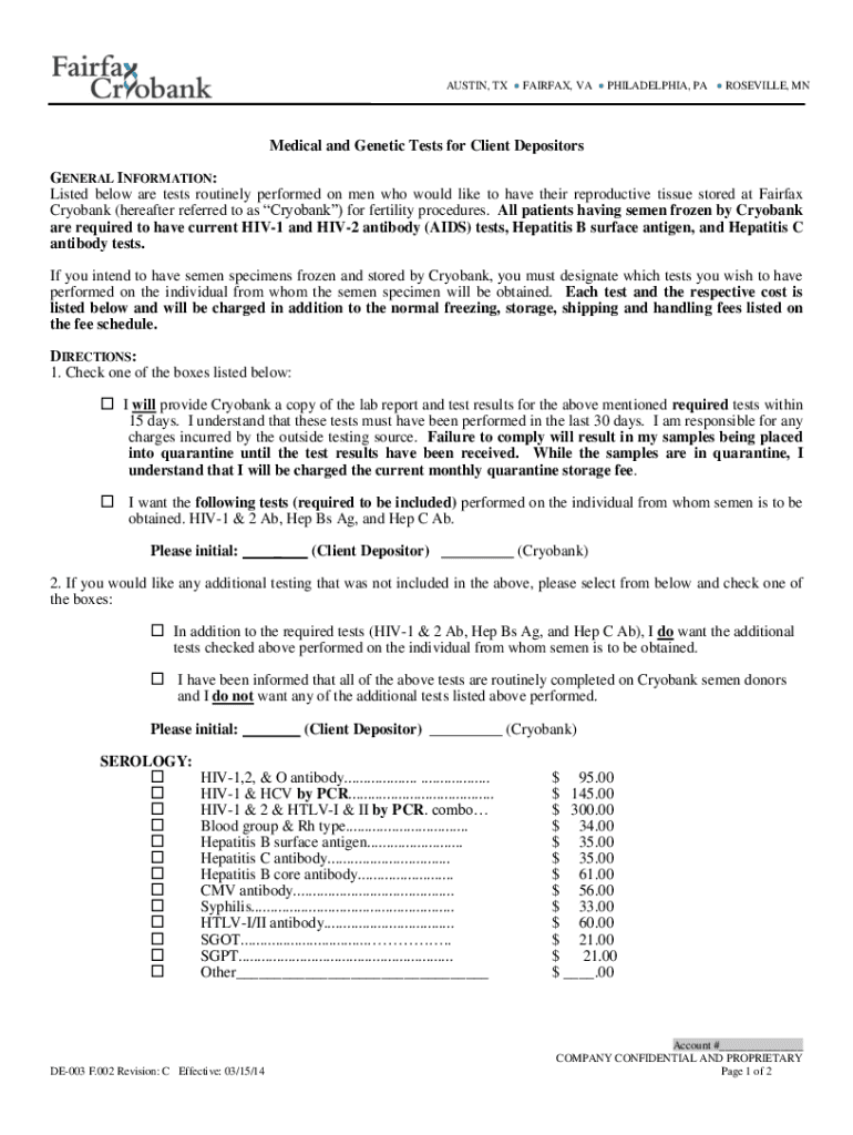
AUSTIN, TX FAIRFAX, VA PHILADELPHIA, PA ROSEVILLE, Medical and Genetic Tests for Client Depositors
GENERAL INFORMATION:
Listed below are tests routinely performed on men who would like to have their
We are not affiliated with any brand or entity on this form
Get, Create, Make and Sign new program offering genetic
Edit your new program offering genetic form online
Type text, complete fillable fields, insert images, highlight or blackout data for discretion, add comments, and more.
Add your legally-binding signature
Draw or type your signature, upload a signature image, or capture it with your digital camera.
Share your form instantly
Email, fax, or share your new program offering genetic form via URL. You can also download, print, or export forms to your preferred cloud storage service.
How to edit new program offering genetic online
Here are the steps you need to follow to get started with our professional PDF editor:
1
Create an account. Begin by choosing Start Free Trial and, if you are a new user, establish a profile.
2
Prepare a file. Use the Add New button to start a new project. Then, using your device, upload your file to the system by importing it from internal mail, the cloud, or adding its URL.
3
Edit new program offering genetic. Rearrange and rotate pages, add and edit text, and use additional tools. To save changes and return to your Dashboard, click Done. The Documents tab allows you to merge, divide, lock, or unlock files.
4
Get your file. When you find your file in the docs list, click on its name and choose how you want to save it. To get the PDF, you can save it, send an email with it, or move it to the cloud.
It's easier to work with documents with pdfFiller than you could have ever thought. You can sign up for an account to see for yourself.
Uncompromising security for your PDF editing and eSignature needs
Your private information is safe with pdfFiller. We employ end-to-end encryption, secure cloud storage, and advanced access control to protect your documents and maintain regulatory compliance.
How to fill out new program offering genetic
How to fill out new program offering genetic
01
Research and gather information about the new program offering genetic
02
Understand the eligibility criteria and requirements for enrolling in the program
03
Fill out the application form accurately and completely
04
Provide any necessary supporting documents or test results as required
05
Submit the completed application form and all supporting documents to the designated office or department
Who needs new program offering genetic?
01
Individuals interested in learning more about their genetic makeup and predispositions
02
Healthcare professionals looking to offer genetic testing and counseling services to their patients
03
Researchers studying genetic traits and hereditary conditions
Fill
form
: Try Risk Free
For pdfFiller’s FAQs
Below is a list of the most common customer questions. If you can’t find an answer to your question, please don’t hesitate to reach out to us.
How do I make edits in new program offering genetic without leaving Chrome?
new program offering genetic can be edited, filled out, and signed with the pdfFiller Google Chrome Extension. You can open the editor right from a Google search page with just one click. Fillable documents can be done on any web-connected device without leaving Chrome.
How do I fill out new program offering genetic using my mobile device?
Use the pdfFiller mobile app to fill out and sign new program offering genetic on your phone or tablet. Visit our website to learn more about our mobile apps, how they work, and how to get started.
How can I fill out new program offering genetic on an iOS device?
Make sure you get and install the pdfFiller iOS app. Next, open the app and log in or set up an account to use all of the solution's editing tools. If you want to open your new program offering genetic, you can upload it from your device or cloud storage, or you can type the document's URL into the box on the right. After you fill in all of the required fields in the document and eSign it, if that is required, you can save or share it with other people.
What is new program offering genetic?
The new program offering genetic refers to a recently introduced initiative or regulatory framework designed to enhance genetic research, access to genetic testing, or the commercialization of genetic technology.
Who is required to file new program offering genetic?
Typically, organizations involved in genetic research, biotechnology firms, and any entities looking to introduce genetic offerings or products are required to file under the new program.
How to fill out new program offering genetic?
To fill out the new program offering genetic, applicants should complete the designated application forms provided by the regulatory authority, ensuring all required information, such as project details and compliance measures, is thoroughly documented.
What is the purpose of new program offering genetic?
The purpose of the new program offering genetic is to establish a regulated process for the development, validation, and commercialization of genetic products and services while ensuring ethical standards and consumer protection.
What information must be reported on new program offering genetic?
Applicants must report detailed information, including the nature of the genetic offering, research methodologies, ethical considerations, potential impacts on public health, and compliance with regulatory standards.
Fill out your new program offering genetic online with pdfFiller!
pdfFiller is an end-to-end solution for managing, creating, and editing documents and forms in the cloud. Save time and hassle by preparing your tax forms online.
New Program Offering Genetic is not the form you're looking for?Search for another form here.
Relevant keywords
Related Forms
If you believe that this page should be taken down, please follow our DMCA take down process
here
.
This form may include fields for payment information. Data entered in these fields is not covered by PCI DSS compliance.