
Get the free Overdraft & Courtesy Pay Disclosure
Show details
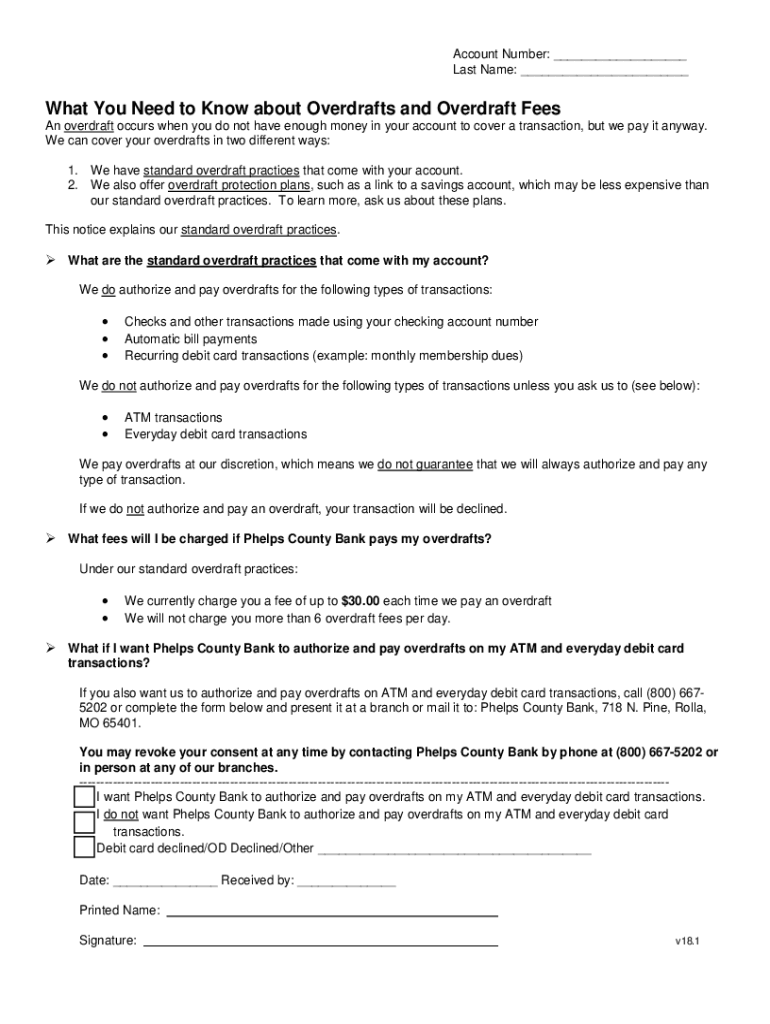
Account Number: ___ Last Name: ___What You Need to Know about Overdrafts and Overdraft Fees An overdraft occurs when you do not have enough money in your account to cover a transaction, but we pay
We are not affiliated with any brand or entity on this form
Get, Create, Make and Sign overdraft amp courtesy pay

Edit your overdraft amp courtesy pay form online
Type text, complete fillable fields, insert images, highlight or blackout data for discretion, add comments, and more.

Add your legally-binding signature
Draw or type your signature, upload a signature image, or capture it with your digital camera.

Share your form instantly
Email, fax, or share your overdraft amp courtesy pay form via URL. You can also download, print, or export forms to your preferred cloud storage service.
Editing overdraft amp courtesy pay online
To use the professional PDF editor, follow these steps below:
1
Register the account. Begin by clicking Start Free Trial and create a profile if you are a new user.
2
Prepare a file. Use the Add New button. Then upload your file to the system from your device, importing it from internal mail, the cloud, or by adding its URL.
3
Edit overdraft amp courtesy pay. Add and change text, add new objects, move pages, add watermarks and page numbers, and more. Then click Done when you're done editing and go to the Documents tab to merge or split the file. If you want to lock or unlock the file, click the lock or unlock button.
4
Save your file. Select it from your records list. Then, click the right toolbar and select one of the various exporting options: save in numerous formats, download as PDF, email, or cloud.
With pdfFiller, it's always easy to work with documents.
Uncompromising security for your PDF editing and eSignature needs
Your private information is safe with pdfFiller. We employ end-to-end encryption, secure cloud storage, and advanced access control to protect your documents and maintain regulatory compliance.
How to fill out overdraft amp courtesy pay

How to fill out overdraft amp courtesy pay
01
Understand the terms and conditions of your account regarding overdraft and courtesy pay.
02
Keep track of your account balance to avoid overdrafts.
03
Opt-in for both overdraft and courtesy pay if you want the bank to cover transactions that exceed your balance.
04
Fill out the necessary forms provided by your bank to activate overdraft and courtesy pay services.
05
Monitor your account regularly to ensure you are aware of any overdraft fees incurred.
Who needs overdraft amp courtesy pay?
01
Individuals who want the bank to cover transactions that exceed their account balance.
02
People who may occasionally forget to monitor their account balance.
03
Those who prefer the convenience of having overdraft and courtesy pay services in place.
Fill
form
: Try Risk Free
For pdfFiller’s FAQs
Below is a list of the most common customer questions. If you can’t find an answer to your question, please don’t hesitate to reach out to us.
How do I complete overdraft amp courtesy pay online?
Easy online overdraft amp courtesy pay completion using pdfFiller. Also, it allows you to legally eSign your form and change original PDF material. Create a free account and manage documents online.
How do I make changes in overdraft amp courtesy pay?
The editing procedure is simple with pdfFiller. Open your overdraft amp courtesy pay in the editor, which is quite user-friendly. You may use it to blackout, redact, write, and erase text, add photos, draw arrows and lines, set sticky notes and text boxes, and much more.
Can I create an electronic signature for the overdraft amp courtesy pay in Chrome?
Yes, you can. With pdfFiller, you not only get a feature-rich PDF editor and fillable form builder but a powerful e-signature solution that you can add directly to your Chrome browser. Using our extension, you can create your legally-binding eSignature by typing, drawing, or capturing a photo of your signature using your webcam. Choose whichever method you prefer and eSign your overdraft amp courtesy pay in minutes.
What is overdraft amp courtesy pay?
Overdraft and courtesy pay refer to banking services that allow account holders to overdraw their accounts up to a certain limit, typically to cover transactions that would otherwise be declined due to insufficient funds.
Who is required to file overdraft amp courtesy pay?
Typically, account holders who opt into overdraft protection services are required to file for overdraft and courtesy pay, as it involves a specific agreement with the financial institution.
How to fill out overdraft amp courtesy pay?
To fill out an overdraft and courtesy pay request, account holders usually need to complete a form provided by their bank, which may require personal information, account details, and their consent for the service.
What is the purpose of overdraft amp courtesy pay?
The purpose of overdraft and courtesy pay is to provide a safety net for account holders by allowing transactions to be completed even when there are insufficient funds, thus avoiding fees from bounced checks or declined payments.
What information must be reported on overdraft amp courtesy pay?
Information that must be reported includes the account holder's personal details, account number, consent for the overdraft service, and acknowledgment of any potential fees associated with overdrawing.
Fill out your overdraft amp courtesy pay online with pdfFiller!
pdfFiller is an end-to-end solution for managing, creating, and editing documents and forms in the cloud. Save time and hassle by preparing your tax forms online.

Overdraft Amp Courtesy Pay is not the form you're looking for?Search for another form here.
Relevant keywords
Related Forms
If you believe that this page should be taken down, please follow our DMCA take down process
here
.
This form may include fields for payment information. Data entered in these fields is not covered by PCI DSS compliance.