Get the free AP Chapter 4 Student Services - Administrative Procedure, ...
Show details
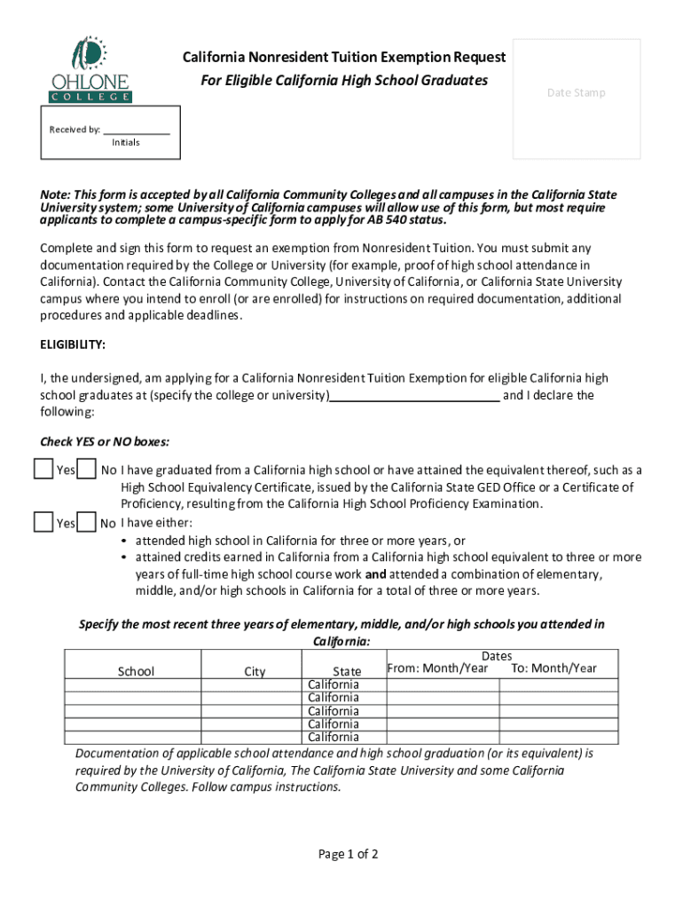
California Nonresident Tuition Exemption Request For Eligible California High School GraduatesDate StampReceived by: InitialsNote: This form is accepted by all California Community Colleges and all
We are not affiliated with any brand or entity on this form
Get, Create, Make and Sign ap chapter 4 student
Edit your ap chapter 4 student form online
Type text, complete fillable fields, insert images, highlight or blackout data for discretion, add comments, and more.
Add your legally-binding signature
Draw or type your signature, upload a signature image, or capture it with your digital camera.
Share your form instantly
Email, fax, or share your ap chapter 4 student form via URL. You can also download, print, or export forms to your preferred cloud storage service.
How to edit ap chapter 4 student online
Use the instructions below to start using our professional PDF editor:
1
Set up an account. If you are a new user, click Start Free Trial and establish a profile.
2
Prepare a file. Use the Add New button. Then upload your file to the system from your device, importing it from internal mail, the cloud, or by adding its URL.
3
Edit ap chapter 4 student. Add and change text, add new objects, move pages, add watermarks and page numbers, and more. Then click Done when you're done editing and go to the Documents tab to merge or split the file. If you want to lock or unlock the file, click the lock or unlock button.
4
Save your file. Choose it from the list of records. Then, shift the pointer to the right toolbar and select one of the several exporting methods: save it in multiple formats, download it as a PDF, email it, or save it to the cloud.
pdfFiller makes working with documents easier than you could ever imagine. Create an account to find out for yourself how it works!
Uncompromising security for your PDF editing and eSignature needs
Your private information is safe with pdfFiller. We employ end-to-end encryption, secure cloud storage, and advanced access control to protect your documents and maintain regulatory compliance.
How to fill out ap chapter 4 student
How to fill out ap chapter 4 student
01
Read and familiarize yourself with the instructions on how to fill out AP Chapter 4 student.
02
Provide accurate personal information such as name, student ID, and contact details.
03
Answer all the required questions and sections in the form with honesty and precision.
04
Ensure to complete all necessary fields and provide any supporting documents if needed.
05
Double-check and review the information you have provided before submitting the form.
Who needs ap chapter 4 student?
01
Students enrolled in an AP course that requires completion of Chapter 4 student.
02
Teachers or instructors who need to assess student progress and understanding in the course.
03
School administrators who need to keep track of student records and academic performance.
Fill
form
: Try Risk Free
For pdfFiller’s FAQs
Below is a list of the most common customer questions. If you can’t find an answer to your question, please don’t hesitate to reach out to us.
How do I modify my ap chapter 4 student in Gmail?
Using pdfFiller's Gmail add-on, you can edit, fill out, and sign your ap chapter 4 student and other papers directly in your email. You may get it through Google Workspace Marketplace. Make better use of your time by handling your papers and eSignatures.
Can I sign the ap chapter 4 student electronically in Chrome?
Yes. You can use pdfFiller to sign documents and use all of the features of the PDF editor in one place if you add this solution to Chrome. In order to use the extension, you can draw or write an electronic signature. You can also upload a picture of your handwritten signature. There is no need to worry about how long it takes to sign your ap chapter 4 student.
How do I edit ap chapter 4 student straight from my smartphone?
The pdfFiller apps for iOS and Android smartphones are available in the Apple Store and Google Play Store. You may also get the program at https://edit-pdf-ios-android.pdffiller.com/. Open the web app, sign in, and start editing ap chapter 4 student.
What is ap chapter 4 student?
AP Chapter 4 Student refers to a specific section of the Internal Revenue Service (IRS) regulations that pertains to the tax obligations and reporting requirements for foreign students studying in the United States.
Who is required to file ap chapter 4 student?
Students who are classified as non-resident aliens and are receiving certain types of U.S. income are required to file AP Chapter 4 Student.
How to fill out ap chapter 4 student?
To fill out AP Chapter 4 Student, individuals must provide their personal information, including name, address, and taxpayer identification number, along with the relevant income information and any applicable deductions or credits.
What is the purpose of ap chapter 4 student?
The purpose of AP Chapter 4 Student is to ensure that foreign students report their income accurately and comply with U.S. tax laws.
What information must be reported on ap chapter 4 student?
Individuals must report personal information, type and amount of income received, any taxes withheld, and any applicable exemptions or deductions.
Fill out your ap chapter 4 student online with pdfFiller!
pdfFiller is an end-to-end solution for managing, creating, and editing documents and forms in the cloud. Save time and hassle by preparing your tax forms online.
Ap Chapter 4 Student is not the form you're looking for?Search for another form here.
Relevant keywords
Related Forms
If you believe that this page should be taken down, please follow our DMCA take down process
here
.
This form may include fields for payment information. Data entered in these fields is not covered by PCI DSS compliance.