Form preview

Get the free New Program: Master of Health Science in Lab Medicine ... template

Get Form
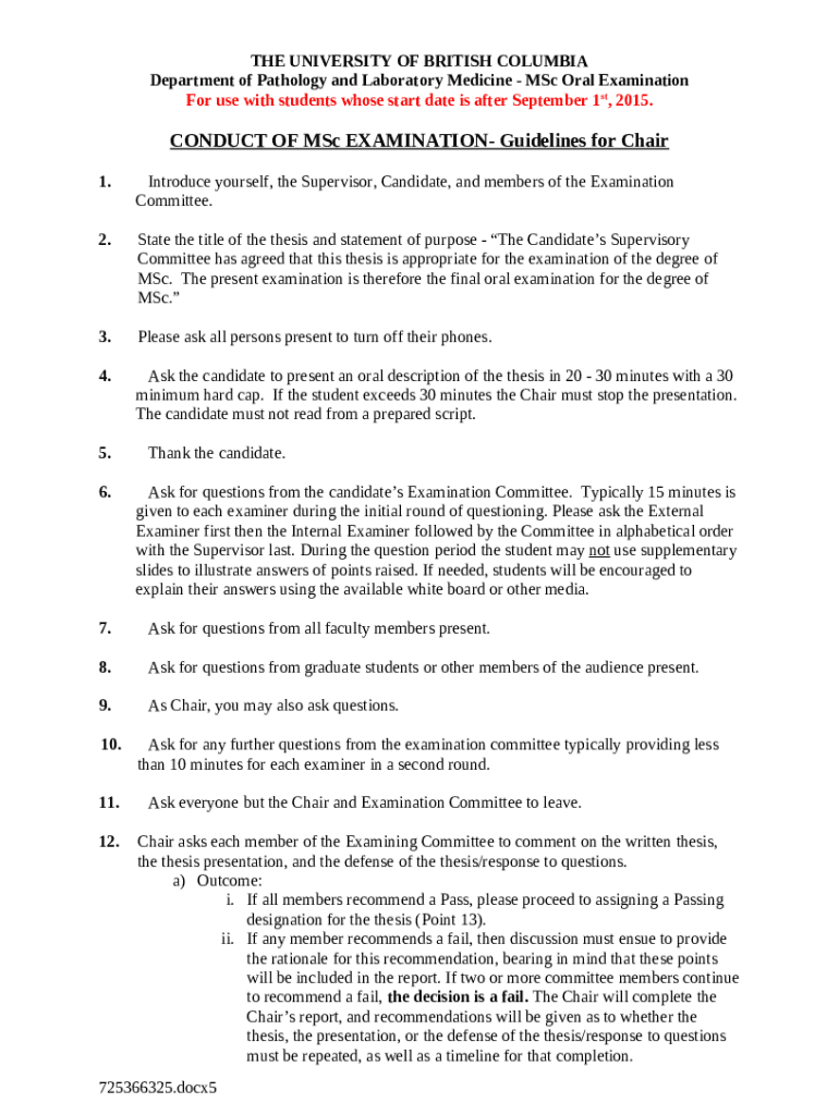
THE UNIVERSITY OF BRITISH COLUMBIA Department of Pathology and Laboratory Medicine M.Sc. Oral Examination For use with students whose start date is after September 1st, 2015.CONDUCT OF M.Sc. EXAMINATION
We are not affiliated with any brand or entity on this form

Get, Create, Make and Sign new program master of

Edit
Edit your new program master of form online
Type text, complete fillable fields, insert images, highlight or blackout data for discretion, add comments, and more.
Add
Add your legally-binding signature
Draw or type your signature, upload a signature image, or capture it with your digital camera.
Share
Share your form instantly
Email, fax, or share your new program master of form via URL. You can also download, print, or export forms to your preferred cloud storage service.

How to edit new program master of online

9.5
Ease of Setup
pdfFiller User Ratings on G2
9.0
Ease of Use
pdfFiller User Ratings on G2
To use the professional PDF editor, follow these steps:
1
Create an account. Begin by choosing Start Free Trial and, if you are a new user, establish a profile.
2
Prepare a file. Use the Add New button to start a new project. Then, using your device, upload your file to the system by importing it from internal mail, the cloud, or adding its URL.
3
Edit new program master of. Add and replace text, insert new objects, rearrange pages, add watermarks and page numbers, and more. Click Done when you are finished editing and go to the Documents tab to merge, split, lock or unlock the file.
4
Get your file. Select the name of your file in the docs list and choose your preferred exporting method. You can download it as a PDF, save it in another format, send it by email, or transfer it to the cloud.
It's easier to work with documents with pdfFiller than you could have believed. Sign up for a free account to view.

Uncompromising security for your PDF editing and eSignature needs

Your private information is safe with pdfFiller. We employ end-to-end encryption, secure cloud storage, and advanced access control to protect your documents and maintain regulatory compliance.
GDPR
AICPA SOC 2
PCI
HIPAA
CCPA
FDA

How to fill out new program master of

Illustration

How to fill out new program master of

01
Collect all necessary information and documents required for the program.
02
Visit the program's official website and navigate to the application page.
03
Fill out the application form with accurate and detailed information.
04
Attach all the required documents such as transcripts, recommendation letters, and a statement of purpose.
05
Submit the completed application before the deadline and pay any required application fees.
06
Wait for notification from the program about the status of your application.

Who needs new program master of?

01
Individuals who are interested in furthering their education and pursuing a master's degree in a specific program.
02
Professionals looking to enhance their skills and knowledge in a particular field.
03
Students who want to specialize in a specific area of study and gain expertise in that subject.
04
Anyone who wants to advance their career opportunities and increase their earning potential.

What is New Program: Master of Health Science in Lab Medicine ... Form?

The New Program: Master of Health Science in Lab Medicine ... is a Word document you can get filled-out and signed for certain reasons. Next, it is provided to the relevant addressee to provide some info of any kinds. The completion and signing may be done manually or using an appropriate tool e. g. PDFfiller. Such tools help to fill out any PDF or Word file online. While doing that, you can customize it according to your needs and put a valid electronic signature. Upon finishing, the user ought to send the New Program: Master of Health Science in Lab Medicine ... to the respective recipient or several of them by email or fax. PDFfiller is known for a feature and options that make your Word template printable. It includes various options for printing out. No matter, how you send a form - physically or by email - it will always look neat and firm. In order not to create a new document from scratch again and again, turn the original document into a template. Later, you will have an editable sample.

Template New Program: Master of Health Science in Lab Medicine ... instructions

Once you're about to start submitting the New Program: Master of Health Science in Lab Medicine ... fillable template, you should make certain that all required data is prepared. This very part is significant, as far as errors may cause undesired consequences. It is usually uncomfortable and time-consuming to re-submit forcedly whole blank, not to mention penalties came from blown deadlines. To handle the figures requires more concentration. At first glance, there’s nothing challenging with this task. Yet still, there is nothing to make an error. Experts advise to record all sensitive data and get it separately in a different file. When you have a sample, you can easily export this info from the document. Anyway, it's up to you how far can you go to provide accurate and solid info. Doublecheck the information in your New Program: Master of Health Science in Lab Medicine ... form carefully when filling out all necessary fields. In case of any mistake, it can be promptly fixed within PDFfiller tool, so that all deadlines are met.

Frequently asked questions about the form New Program: Master of Health Science in Lab Medicine ...

1. I need to fill out the writable document with very sensitive data. Shall I use online solutions to do that, or it's not that safe?

Services working with confidential information (even intel one) like PDFfiller are obliged to provide security measures to users. They include the following features:

  • Private cloud storage where all data is kept protected with sophisticated encryption. The user is the only who has got to access their personal files. Doorways to steal this information by the service is strictly prohibited.
  • To prevent document falsification, each document obtains its unique ID number upon signing.
  • Users are able to use extra security features. They manage you to request the two-factor verification for every person trying to read, annotate or edit your file. In PDFfiller you can store .doc forms in folders protected with layered encryption.

2. Is digital signature legal?

Yes, and it's absolutely legal. After ESIGN Act released in 2000, an electronic signature is considered as a legal tool. You are able to complete a file and sign it, and to official organizations it will be the same as if you signed a hard copy with pen, old-fashioned. You can use electronic signature with whatever form you like, including word form New Program: Master of Health Science in Lab Medicine .... Be sure that it fits to all legal requirements like PDFfiller does.

3. I have a worksheet with some of required information all set. Can I use it with this form somehow?

In PDFfiller, there is a feature called Fill in Bulk. It helps to make an extraction of data from document to the online template. The key benefit of this feature is that you can excerpt information from the Excel spreadsheet and move it to the document that you’re filling using PDFfiller.

Fill form : Try Risk Free
Users Most Likely To Recommend - Summer 2025
Grid Leader in Small-Business - Summer 2025
High Performer - Summer 2025
Regional Leader - Summer 2025
Easiest To Do Business With - Summer 2025
Best Meets Requirements- Summer 2025
Rate the form
4.8
Satisfied
60 Votes

For pdfFiller’s FAQs

Below is a list of the most common customer questions. If you can’t find an answer to your question, please don’t hesitate to reach out to us.

The premium pdfFiller subscription gives you access to over 25M fillable templates that you can download, fill out, print, and sign. The library has state-specific new program master of and other forms. Find the template you need and change it using powerful tools.
Completing and signing new program master of online is easy with pdfFiller. It enables you to edit original PDF content, highlight, blackout, erase and type text anywhere on a page, legally eSign your form, and much more. Create your free account and manage professional documents on the web.
Use the pdfFiller app for Android to finish your new program master of. The application lets you do all the things you need to do with documents, like add, edit, and remove text, sign, annotate, and more. There is nothing else you need except your smartphone and an internet connection to do this.
The new program master of refers to the revised requirements for the master of a particular program or curriculum as defined by educational or regulatory bodies.
Educational institutions and program administrators are required to file the new program master of to ensure compliance with updated standards.
To fill out the new program master of, institutions must complete the designated forms, provide necessary documentation, and ensure all required information is accurately reported.
The purpose of the new program master of is to standardize educational programs and ensure they meet current educational standards and regulations.
Information that must be reported includes program title, description, learning outcomes, course listings, and faculty qualifications.
Fill out your new program master of online with pdfFiller!

pdfFiller is an end-to-end solution for managing, creating, and editing documents and forms in the cloud. Save time and hassle by preparing your tax forms online.

Get started now
Form preview
If you believe that this page should be taken down, please follow our DMCA take down process here .
This form may include fields for payment information. Data entered in these fields is not covered by PCI DSS compliance.