Get the free HHS Staff Updates from the HHS Office of Research
Show details
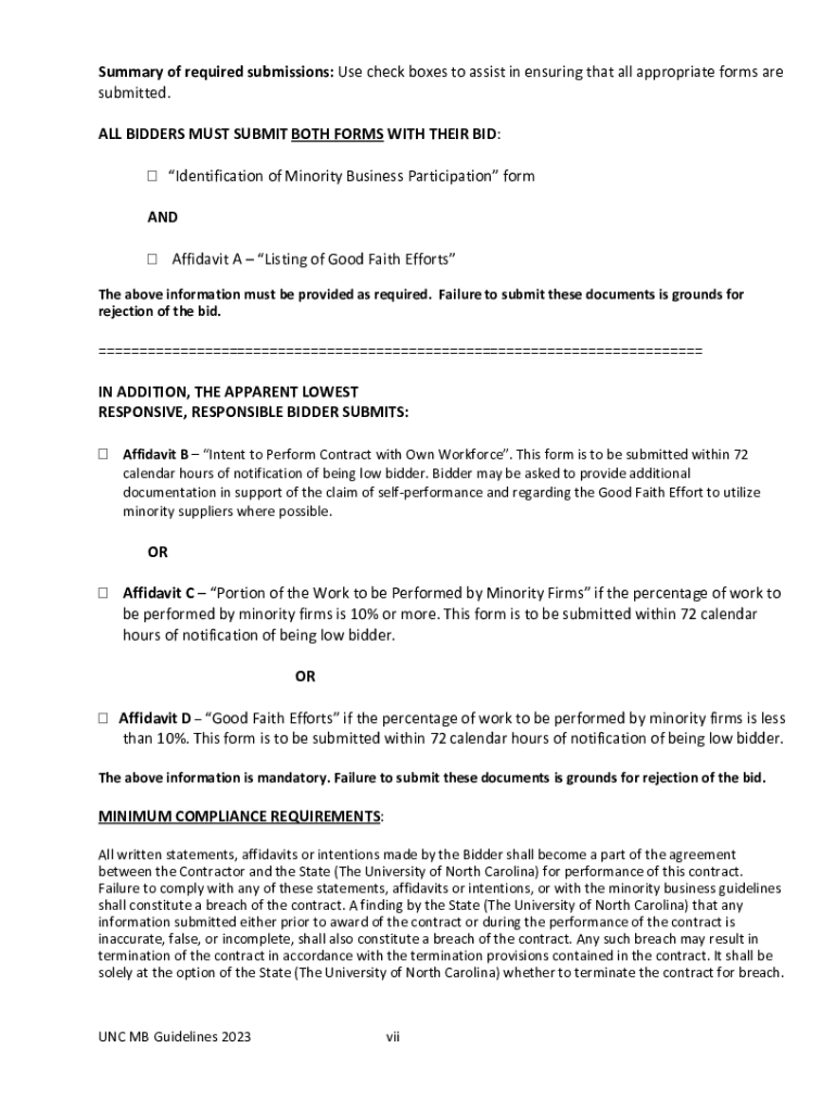
Summaryofrequiredsubmissions:Usecheckboxestoassistinensuringthatallappropriateformsare
submitted.
ALLBIDDERSMUSTSUBMITBOTHFORMSWITHTHEIRBID:
IdentificationofMinorityBusinessParticipationform
AND
AffidavitAListingofGoodFaithEfforts
Theaboveinformationmustbeprovidedasrequired.
We are not affiliated with any brand or entity on this form
Get, Create, Make and Sign hhs staff updates from
Edit your hhs staff updates from form online
Type text, complete fillable fields, insert images, highlight or blackout data for discretion, add comments, and more.
Add your legally-binding signature
Draw or type your signature, upload a signature image, or capture it with your digital camera.
Share your form instantly
Email, fax, or share your hhs staff updates from form via URL. You can also download, print, or export forms to your preferred cloud storage service.
Editing hhs staff updates from online
Use the instructions below to start using our professional PDF editor:
1
Log in to account. Click Start Free Trial and sign up a profile if you don't have one yet.
2
Upload a file. Select Add New on your Dashboard and upload a file from your device or import it from the cloud, online, or internal mail. Then click Edit.
3
Edit hhs staff updates from. Add and replace text, insert new objects, rearrange pages, add watermarks and page numbers, and more. Click Done when you are finished editing and go to the Documents tab to merge, split, lock or unlock the file.
4
Save your file. Select it in the list of your records. Then, move the cursor to the right toolbar and choose one of the available exporting methods: save it in multiple formats, download it as a PDF, send it by email, or store it in the cloud.
pdfFiller makes dealing with documents a breeze. Create an account to find out!
Uncompromising security for your PDF editing and eSignature needs
Your private information is safe with pdfFiller. We employ end-to-end encryption, secure cloud storage, and advanced access control to protect your documents and maintain regulatory compliance.
How to fill out hhs staff updates from
How to fill out hhs staff updates from
01
Access the HHS staff updates form online through the designated portal or website.
02
Fill in the required details such as name, position, department, contact information, and any relevant updates.
03
Review the filled out form for accuracy and completeness before submitting.
04
Submit the form through the specified submission process or to the designated department for processing.
Who needs hhs staff updates from?
01
Employees of the HHS organization who have relevant updates to share with the staff or management.
02
Human resources department or administrators who need to keep track of staff updates for record-keeping or organizational planning purposes.
Fill
form
: Try Risk Free
For pdfFiller’s FAQs
Below is a list of the most common customer questions. If you can’t find an answer to your question, please don’t hesitate to reach out to us.
How do I complete hhs staff updates from online?
Filling out and eSigning hhs staff updates from is now simple. The solution allows you to change and reorganize PDF text, add fillable fields, and eSign the document. Start a free trial of pdfFiller, the best document editing solution.
Can I create an electronic signature for the hhs staff updates from in Chrome?
Yes. By adding the solution to your Chrome browser, you may use pdfFiller to eSign documents while also enjoying all of the PDF editor's capabilities in one spot. Create a legally enforceable eSignature by sketching, typing, or uploading a photo of your handwritten signature using the extension. Whatever option you select, you'll be able to eSign your hhs staff updates from in seconds.
How do I edit hhs staff updates from on an Android device?
You can make any changes to PDF files, such as hhs staff updates from, with the help of the pdfFiller mobile app for Android. Edit, sign, and send documents right from your mobile device. Install the app and streamline your document management wherever you are.
What is hhs staff updates from?
HHS staff updates form refers to a document used by the Department of Health and Human Services to gather information about updates or changes in staff within healthcare facilities.
Who is required to file hhs staff updates from?
Healthcare facilities and organizations that receive funding or support from the Department of Health and Human Services are required to file HHS staff updates.
How to fill out hhs staff updates from?
To fill out the HHS staff updates form, you should provide accurate and complete information about staff changes, including names, positions, and any relevant changes in roles or responsibilities.
What is the purpose of hhs staff updates from?
The purpose of the HHS staff updates form is to maintain current records of healthcare staff, ensure compliance, and facilitate communication between health facilities and HHS.
What information must be reported on hhs staff updates from?
The information that must be reported includes staff names, job titles, employment status changes, and any relevant qualifications or certifications.
Fill out your hhs staff updates from online with pdfFiller!
pdfFiller is an end-to-end solution for managing, creating, and editing documents and forms in the cloud. Save time and hassle by preparing your tax forms online.
Hhs Staff Updates From is not the form you're looking for?Search for another form here.
Relevant keywords
Related Forms
If you believe that this page should be taken down, please follow our DMCA take down process
here
.
This form may include fields for payment information. Data entered in these fields is not covered by PCI DSS compliance.