
Get the free woodbury county conservation board annual report
Show details
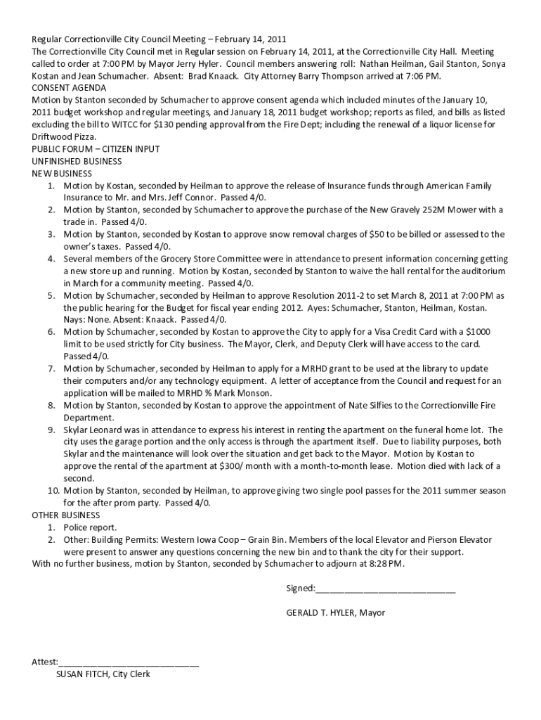
Regular Correctionville City Council Meeting February 14, 2011,
The Correctionville City Council met in Regular session on February 14, 2011, at the Correctionville City Hall. Meeting
called to order
We are not affiliated with any brand or entity on this form
Get, Create, Make and Sign woodbury county conservation board

Edit your woodbury county conservation board form online
Type text, complete fillable fields, insert images, highlight or blackout data for discretion, add comments, and more.

Add your legally-binding signature
Draw or type your signature, upload a signature image, or capture it with your digital camera.

Share your form instantly
Email, fax, or share your woodbury county conservation board form via URL. You can also download, print, or export forms to your preferred cloud storage service.
How to edit woodbury county conservation board online
To use our professional PDF editor, follow these steps:
1
Log in to your account. Start Free Trial and register a profile if you don't have one yet.
2
Prepare a file. Use the Add New button to start a new project. Then, using your device, upload your file to the system by importing it from internal mail, the cloud, or adding its URL.
3
Edit woodbury county conservation board. Add and change text, add new objects, move pages, add watermarks and page numbers, and more. Then click Done when you're done editing and go to the Documents tab to merge or split the file. If you want to lock or unlock the file, click the lock or unlock button.
4
Save your file. Select it from your records list. Then, click the right toolbar and select one of the various exporting options: save in numerous formats, download as PDF, email, or cloud.
With pdfFiller, it's always easy to work with documents.
Uncompromising security for your PDF editing and eSignature needs
Your private information is safe with pdfFiller. We employ end-to-end encryption, secure cloud storage, and advanced access control to protect your documents and maintain regulatory compliance.
How to fill out woodbury county conservation board

How to fill out woodbury county conservation board
01
Obtain the woodbury county conservation board application form.
02
Fill in your personal information such as name, address, contact details, etc.
03
Provide details of your background and experience in conservation or related fields.
04
Answer any additional questions or requirements specified on the application form.
05
Review the completed form for accuracy and make any necessary corrections.
06
Submit the filled out application form to the appropriate woodbury county conservation board office.
Who needs woodbury county conservation board?
01
Individuals interested in volunteering for conservation projects or activities.
02
Students pursuing a career in conservation or environmental science.
03
Professionals working in the fields of wildlife management, forestry, or environmental education.
Fill
form
: Try Risk Free
For pdfFiller’s FAQs
Below is a list of the most common customer questions. If you can’t find an answer to your question, please don’t hesitate to reach out to us.
How do I modify my woodbury county conservation board in Gmail?
pdfFiller’s add-on for Gmail enables you to create, edit, fill out and eSign your woodbury county conservation board and any other documents you receive right in your inbox. Visit Google Workspace Marketplace and install pdfFiller for Gmail. Get rid of time-consuming steps and manage your documents and eSignatures effortlessly.
Where do I find woodbury county conservation board?
The pdfFiller premium subscription gives you access to a large library of fillable forms (over 25 million fillable templates) that you can download, fill out, print, and sign. In the library, you'll have no problem discovering state-specific woodbury county conservation board and other forms. Find the template you want and tweak it with powerful editing tools.
How do I edit woodbury county conservation board on an iOS device?
Use the pdfFiller mobile app to create, edit, and share woodbury county conservation board from your iOS device. Install it from the Apple Store in seconds. You can benefit from a free trial and choose a subscription that suits your needs.
What is woodbury county conservation board?
The Woodbury County Conservation Board is a local government agency in Woodbury County, Iowa, that is responsible for the conservation and management of natural resources, parks, and recreational areas within the county.
Who is required to file woodbury county conservation board?
Individuals or entities involved in activities that may affect the conservation areas or natural resources under the jurisdiction of the Woodbury County Conservation Board may be required to file, including any developers or organizations seeking permits.
How to fill out woodbury county conservation board?
To fill out the Woodbury County Conservation Board application or report, individuals should gather the required information, complete the forms accurately, and submit them according to the guidelines provided by the board.
What is the purpose of woodbury county conservation board?
The purpose of the Woodbury County Conservation Board is to preserve, manage, and protect the natural resources and recreational opportunities in Woodbury County for the benefit of the public and future generations.
What information must be reported on woodbury county conservation board?
Filing with the Woodbury County Conservation Board generally requires information regarding project details, environmental impact assessments, compliance with local regulations, and any necessary permits.
Fill out your woodbury county conservation board online with pdfFiller!
pdfFiller is an end-to-end solution for managing, creating, and editing documents and forms in the cloud. Save time and hassle by preparing your tax forms online.

Woodbury County Conservation Board is not the form you're looking for?Search for another form here.
Relevant keywords
Related Forms
If you believe that this page should be taken down, please follow our DMCA take down process
here
.
This form may include fields for payment information. Data entered in these fields is not covered by PCI DSS compliance.