
Get the free Supervisory Supply Systems Analyst (TEMP) (TITLE 5)
Show details
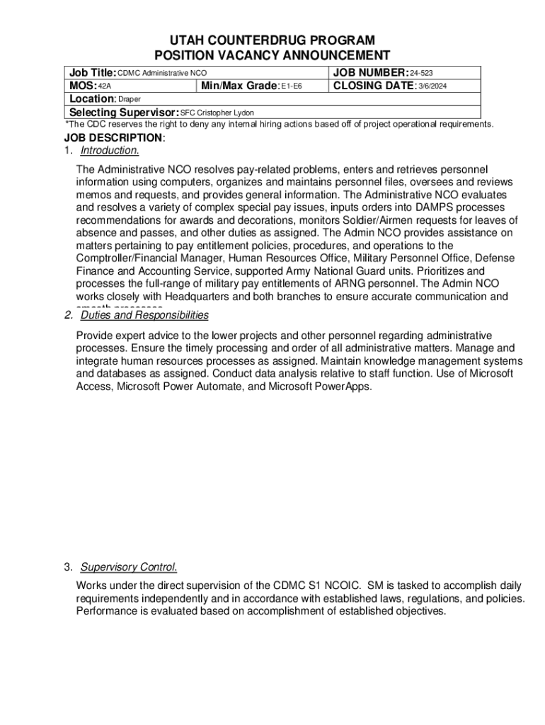
UTAH COUNTERDRUG PROGRAM POSITION VACANCY ANNOUNCEMENT Job Title: CDMC Administrative NCO MOS: 42A Min/Max Grade: E1E6 Draper Location: Selecting Supervisor: SFC Cristopher LydonJOB NUMBER: 24523
We are not affiliated with any brand or entity on this form
Get, Create, Make and Sign supervisory supply systems analyst

Edit your supervisory supply systems analyst form online
Type text, complete fillable fields, insert images, highlight or blackout data for discretion, add comments, and more.

Add your legally-binding signature
Draw or type your signature, upload a signature image, or capture it with your digital camera.

Share your form instantly
Email, fax, or share your supervisory supply systems analyst form via URL. You can also download, print, or export forms to your preferred cloud storage service.
How to edit supervisory supply systems analyst online
Follow the steps below to take advantage of the professional PDF editor:
1
Register the account. Begin by clicking Start Free Trial and create a profile if you are a new user.
2
Prepare a file. Use the Add New button to start a new project. Then, using your device, upload your file to the system by importing it from internal mail, the cloud, or adding its URL.
3
Edit supervisory supply systems analyst. Rearrange and rotate pages, insert new and alter existing texts, add new objects, and take advantage of other helpful tools. Click Done to apply changes and return to your Dashboard. Go to the Documents tab to access merging, splitting, locking, or unlocking functions.
4
Save your file. Select it from your records list. Then, click the right toolbar and select one of the various exporting options: save in numerous formats, download as PDF, email, or cloud.
pdfFiller makes working with documents easier than you could ever imagine. Register for an account and see for yourself!
Uncompromising security for your PDF editing and eSignature needs
Your private information is safe with pdfFiller. We employ end-to-end encryption, secure cloud storage, and advanced access control to protect your documents and maintain regulatory compliance.
How to fill out supervisory supply systems analyst

How to fill out supervisory supply systems analyst
01
Begin by gathering all necessary information related to supply systems and analysis.
02
Review and understand the specific duties and responsibilities of a supervisory supply systems analyst.
03
Complete all required forms and documentation accurately and thoroughly.
04
Follow any specific guidelines or protocols provided by the supervising department or organization.
05
Double-check your work for accuracy and completeness before submitting it for review.
Who needs supervisory supply systems analyst?
01
Government agencies or departments that handle supply chain management and logistics.
02
Companies or organizations with a large inventory or supply of goods and materials.
03
Military branches or defense contractors that require efficient supply systems and analysis.
Fill
form
: Try Risk Free
For pdfFiller’s FAQs
Below is a list of the most common customer questions. If you can’t find an answer to your question, please don’t hesitate to reach out to us.
How do I modify my supervisory supply systems analyst in Gmail?
The pdfFiller Gmail add-on lets you create, modify, fill out, and sign supervisory supply systems analyst and other documents directly in your email. Click here to get pdfFiller for Gmail. Eliminate tedious procedures and handle papers and eSignatures easily.
How do I execute supervisory supply systems analyst online?
With pdfFiller, you may easily complete and sign supervisory supply systems analyst online. It lets you modify original PDF material, highlight, blackout, erase, and write text anywhere on a page, legally eSign your document, and do a lot more. Create a free account to handle professional papers online.
How do I complete supervisory supply systems analyst on an iOS device?
Install the pdfFiller app on your iOS device to fill out papers. If you have a subscription to the service, create an account or log in to an existing one. After completing the registration process, upload your supervisory supply systems analyst. You may now use pdfFiller's advanced features, such as adding fillable fields and eSigning documents, and accessing them from any device, wherever you are.
What is supervisory supply systems analyst?
A supervisory supply systems analyst is a professional responsible for overseeing the management and analysis of supply systems, ensuring efficient procurement, inventory management, and logistics operations within an organization.
Who is required to file supervisory supply systems analyst?
Individuals in roles that require reporting and management of supply chain systems, inventory, and procurement processes within an organization are typically required to file as a supervisory supply systems analyst.
How to fill out supervisory supply systems analyst?
To fill out the supervisory supply systems analyst form, gather all relevant data regarding supply chain activities, report metrics on inventory, procurement, and analyze any operational issues before submitting the completed document to the designated authority.
What is the purpose of supervisory supply systems analyst?
The purpose of the supervisory supply systems analyst is to enhance the efficiency of supply chain operations, identify areas for improvement, ensure compliance with regulations, and support strategic decision-making within the organization.
What information must be reported on supervisory supply systems analyst?
The information required includes details on inventory levels, procurement strategies, supply chain performance metrics, compliance issues, and any operational challenges faced in managing supply systems.
Fill out your supervisory supply systems analyst online with pdfFiller!
pdfFiller is an end-to-end solution for managing, creating, and editing documents and forms in the cloud. Save time and hassle by preparing your tax forms online.

Supervisory Supply Systems Analyst is not the form you're looking for?Search for another form here.
Relevant keywords
Related Forms
If you believe that this page should be taken down, please follow our DMCA take down process
here
.
This form may include fields for payment information. Data entered in these fields is not covered by PCI DSS compliance.