
Get the free English Department Faculty Travel Funding Request
Show details
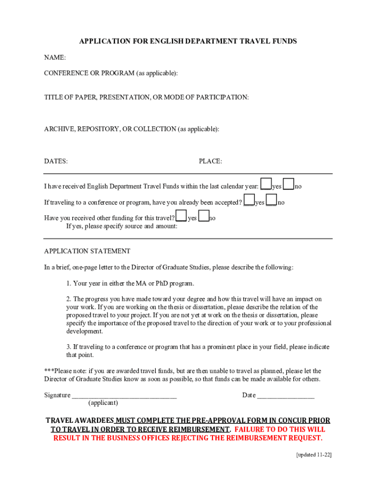
APPLICATION FOR ENGLISH DEPARTMENT TRAVEL FUNDS NAME: CONFERENCE OR PROGRAM (as applicable): TITLE OF PAPER, PRESENTATION, OR MODE OF PARTICIPATION:ARCHIVE, REPOSITORY, OR COLLECTION (as applicable):DATES:PLACE:I
We are not affiliated with any brand or entity on this form
Get, Create, Make and Sign english department faculty travel

Edit your english department faculty travel form online
Type text, complete fillable fields, insert images, highlight or blackout data for discretion, add comments, and more.

Add your legally-binding signature
Draw or type your signature, upload a signature image, or capture it with your digital camera.

Share your form instantly
Email, fax, or share your english department faculty travel form via URL. You can also download, print, or export forms to your preferred cloud storage service.
How to edit english department faculty travel online
Here are the steps you need to follow to get started with our professional PDF editor:
1
Create an account. Begin by choosing Start Free Trial and, if you are a new user, establish a profile.
2
Upload a file. Select Add New on your Dashboard and upload a file from your device or import it from the cloud, online, or internal mail. Then click Edit.
3
Edit english department faculty travel. Replace text, adding objects, rearranging pages, and more. Then select the Documents tab to combine, divide, lock or unlock the file.
4
Get your file. When you find your file in the docs list, click on its name and choose how you want to save it. To get the PDF, you can save it, send an email with it, or move it to the cloud.
With pdfFiller, it's always easy to work with documents. Check it out!
Uncompromising security for your PDF editing and eSignature needs
Your private information is safe with pdfFiller. We employ end-to-end encryption, secure cloud storage, and advanced access control to protect your documents and maintain regulatory compliance.
How to fill out english department faculty travel

How to fill out english department faculty travel
01
Obtain the necessary travel request form from the English department office.
02
Fill out the form with your personal information, including name, department, and contact information.
03
Provide details of your travel plans, including destination, purpose of travel, dates of travel, and estimated costs.
04
Obtain any necessary approvals from department heads or supervisors.
05
Submit the completed form to the department office for processing.
Who needs english department faculty travel?
01
English department faculty who are planning to travel for work-related purposes such as conferences, research trips, or presentations.
Fill
form
: Try Risk Free
For pdfFiller’s FAQs
Below is a list of the most common customer questions. If you can’t find an answer to your question, please don’t hesitate to reach out to us.
How can I send english department faculty travel for eSignature?
When you're ready to share your english department faculty travel, you can swiftly email it to others and receive the eSigned document back. You may send your PDF through email, fax, text message, or USPS mail, or you can notarize it online. All of this may be done without ever leaving your account.
How can I get english department faculty travel?
It's simple with pdfFiller, a full online document management tool. Access our huge online form collection (over 25M fillable forms are accessible) and find the english department faculty travel in seconds. Open it immediately and begin modifying it with powerful editing options.
How do I edit english department faculty travel online?
pdfFiller not only lets you change the content of your files, but you can also change the number and order of pages. Upload your english department faculty travel to the editor and make any changes in a few clicks. The editor lets you black out, type, and erase text in PDFs. You can also add images, sticky notes, and text boxes, as well as many other things.
What is english department faculty travel?
English department faculty travel refers to the travel undertaken by faculty members within the English department for academic, research, or professional development purposes.
Who is required to file english department faculty travel?
All faculty members in the English department who engage in official travel related to their academic duties are required to file an English department faculty travel request.
How to fill out english department faculty travel?
To fill out the English department faculty travel form, faculty members should provide details such as the travel destination, purpose, dates of travel, estimated costs, and any relevant approvals from department heads.
What is the purpose of english department faculty travel?
The purpose of English department faculty travel is to facilitate academic collaboration, attend conferences, conduct research, and enhance professional growth.
What information must be reported on english department faculty travel?
Information that must be reported includes travel dates, destination, itinerary, purpose of travel, funding sources, and estimated expenses.
Fill out your english department faculty travel online with pdfFiller!
pdfFiller is an end-to-end solution for managing, creating, and editing documents and forms in the cloud. Save time and hassle by preparing your tax forms online.

English Department Faculty Travel is not the form you're looking for?Search for another form here.
Relevant keywords
Related Forms
If you believe that this page should be taken down, please follow our DMCA take down process
here
.
This form may include fields for payment information. Data entered in these fields is not covered by PCI DSS compliance.