Get the free Documents and Standards
Show details
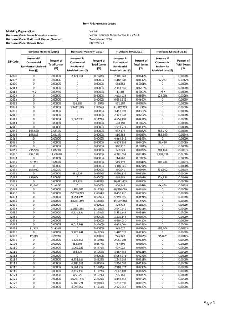
FormA3:HurricaneLosses
Ve risk
VeriskHurricaneModelfortheU. S.v2.0.0
Touchstone2023A
08/07/2023ModelingOrganization:
HurricaneModelName&VersionNumber:
HurricaneModelPlatform&VersionNumber:
HurricaneModelReleaseDate:
HurricaneHermine(2016)
ZIPCode32003
32008
32009
32011
32013
32024
32025
32033
32034
32038
32040
32043
32044
32046
32052
32053
32054
32055
32058
32059
32060
32061
32062
32063
32064
32065
32066
32068
32071
32073
32080
32081
32082
32083
32084
32086
32087
32091
32092
32094
32095
We are not affiliated with any brand or entity on this form
Get, Create, Make and Sign documents and standards
Edit your documents and standards form online
Type text, complete fillable fields, insert images, highlight or blackout data for discretion, add comments, and more.
Add your legally-binding signature
Draw or type your signature, upload a signature image, or capture it with your digital camera.
Share your form instantly
Email, fax, or share your documents and standards form via URL. You can also download, print, or export forms to your preferred cloud storage service.
How to edit documents and standards online
Follow the steps down below to take advantage of the professional PDF editor:
1
Set up an account. If you are a new user, click Start Free Trial and establish a profile.
2
Upload a file. Select Add New on your Dashboard and upload a file from your device or import it from the cloud, online, or internal mail. Then click Edit.
3
Edit documents and standards. Rearrange and rotate pages, insert new and alter existing texts, add new objects, and take advantage of other helpful tools. Click Done to apply changes and return to your Dashboard. Go to the Documents tab to access merging, splitting, locking, or unlocking functions.
4
Save your file. Select it from your records list. Then, click the right toolbar and select one of the various exporting options: save in numerous formats, download as PDF, email, or cloud.
pdfFiller makes working with documents easier than you could ever imagine. Try it for yourself by creating an account!
Uncompromising security for your PDF editing and eSignature needs
Your private information is safe with pdfFiller. We employ end-to-end encryption, secure cloud storage, and advanced access control to protect your documents and maintain regulatory compliance.
How to fill out documents and standards
How to fill out documents and standards
01
Gather all necessary documents and standards required for the specific task or project.
02
Read through each document carefully to understand the requirements and guidelines.
03
Fill out the documents accurately with the required information, ensuring all fields are completed.
04
Double-check the filled documents for any errors or missing information before submitting.
05
Follow any additional instructions or procedures provided in the standards to ensure compliance.
Who needs documents and standards?
01
Businesses and organizations that want to maintain quality control and consistency in their operations.
02
Government agencies that require documentation for regulatory compliance and reporting.
03
Individuals completing official forms for personal or professional purposes.
Fill
form
: Try Risk Free
For pdfFiller’s FAQs
Below is a list of the most common customer questions. If you can’t find an answer to your question, please don’t hesitate to reach out to us.
How do I complete documents and standards online?
Completing and signing documents and standards online is easy with pdfFiller. It enables you to edit original PDF content, highlight, blackout, erase and type text anywhere on a page, legally eSign your form, and much more. Create your free account and manage professional documents on the web.
How do I make changes in documents and standards?
With pdfFiller, it's easy to make changes. Open your documents and standards in the editor, which is very easy to use and understand. When you go there, you'll be able to black out and change text, write and erase, add images, draw lines, arrows, and more. You can also add sticky notes and text boxes.
How do I fill out documents and standards on an Android device?
Use the pdfFiller app for Android to finish your documents and standards. The application lets you do all the things you need to do with documents, like add, edit, and remove text, sign, annotate, and more. There is nothing else you need except your smartphone and an internet connection to do this.
What is documents and standards?
Documents and standards refer to the formal papers or guidelines that provide necessary information, requirements, and procedures that must be followed in a particular field or industry.
Who is required to file documents and standards?
Typically, organizations, businesses, and individuals involved in regulated activities or industries are required to file documents and standards as part of compliance with applicable laws and regulations.
How to fill out documents and standards?
To fill out documents and standards, you should closely follow the provided instructions, accurately provide all required information, validate the entries for correctness, and ensure that it is submitted on time.
What is the purpose of documents and standards?
The purpose of documents and standards is to ensure compliance with regulations, maintain quality control, provide clarity in processes, and establish a framework for accountability in various industries.
What information must be reported on documents and standards?
The specific information required on documents and standards varies by industry but generally includes identification details, financial information, compliance status, and any other relevant data as specified by regulatory authorities.
Fill out your documents and standards online with pdfFiller!
pdfFiller is an end-to-end solution for managing, creating, and editing documents and forms in the cloud. Save time and hassle by preparing your tax forms online.
Documents And Standards is not the form you're looking for?Search for another form here.
Relevant keywords
Related Forms
If you believe that this page should be taken down, please follow our DMCA take down process
here
.
This form may include fields for payment information. Data entered in these fields is not covered by PCI DSS compliance.