
Get the free Maintenance (ZF) & CCF
Show details
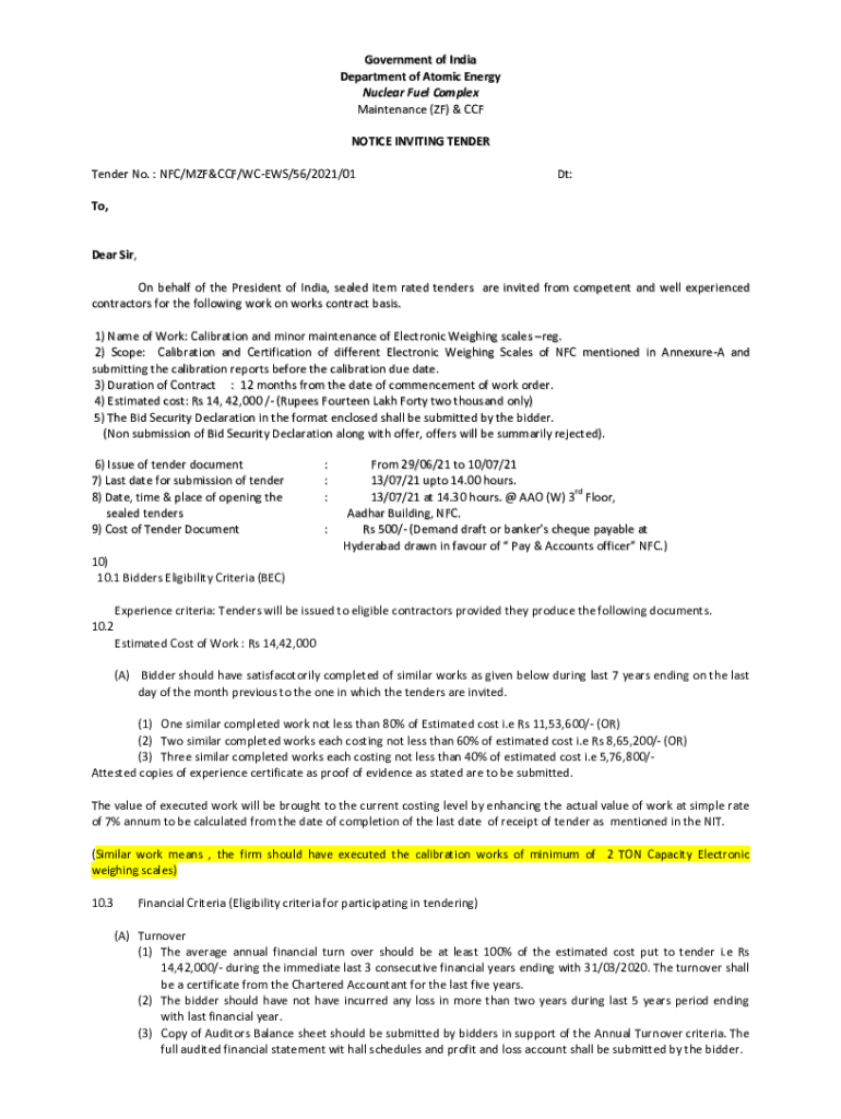
Government of India
Department of Atomic Energy
Nuclear Fuel Complex
Maintenance (OF) & CCF
NOTICE INVITING TENDER No. NFC/MZF&CCF/WC EWS/56/2021/01Dt:T o,
Dear Sir,
On behalf of the President of
We are not affiliated with any brand or entity on this form
Get, Create, Make and Sign maintenance zf ccf

Edit your maintenance zf ccf form online
Type text, complete fillable fields, insert images, highlight or blackout data for discretion, add comments, and more.

Add your legally-binding signature
Draw or type your signature, upload a signature image, or capture it with your digital camera.

Share your form instantly
Email, fax, or share your maintenance zf ccf form via URL. You can also download, print, or export forms to your preferred cloud storage service.
Editing maintenance zf ccf online
Use the instructions below to start using our professional PDF editor:
1
Register the account. Begin by clicking Start Free Trial and create a profile if you are a new user.
2
Simply add a document. Select Add New from your Dashboard and import a file into the system by uploading it from your device or importing it via the cloud, online, or internal mail. Then click Begin editing.
3
Edit maintenance zf ccf. Rearrange and rotate pages, add and edit text, and use additional tools. To save changes and return to your Dashboard, click Done. The Documents tab allows you to merge, divide, lock, or unlock files.
4
Get your file. Select your file from the documents list and pick your export method. You may save it as a PDF, email it, or upload it to the cloud.
With pdfFiller, it's always easy to deal with documents.
Uncompromising security for your PDF editing and eSignature needs
Your private information is safe with pdfFiller. We employ end-to-end encryption, secure cloud storage, and advanced access control to protect your documents and maintain regulatory compliance.
How to fill out maintenance zf ccf

How to fill out maintenance zf ccf
01
Locate the maintenance log for the ZF CCF.
02
Begin by entering the date of maintenance in the designated section.
03
Fill in the details of the maintenance performed, including any parts replaced or services conducted.
04
Make sure to include the technician's name or ID number who performed the maintenance.
05
Once the maintenance information is filled out, ensure to sign and date the log to certify completion.
Who needs maintenance zf ccf?
01
Any machine or equipment that utilizes ZF CCF components or systems will require regular maintenance to ensure optimal performance and longevity.
Fill
form
: Try Risk Free
For pdfFiller’s FAQs
Below is a list of the most common customer questions. If you can’t find an answer to your question, please don’t hesitate to reach out to us.
How can I modify maintenance zf ccf without leaving Google Drive?
By combining pdfFiller with Google Docs, you can generate fillable forms directly in Google Drive. No need to leave Google Drive to make edits or sign documents, including maintenance zf ccf. Use pdfFiller's features in Google Drive to handle documents on any internet-connected device.
How do I edit maintenance zf ccf in Chrome?
Get and add pdfFiller Google Chrome Extension to your browser to edit, fill out and eSign your maintenance zf ccf, which you can open in the editor directly from a Google search page in just one click. Execute your fillable documents from any internet-connected device without leaving Chrome.
How can I fill out maintenance zf ccf on an iOS device?
pdfFiller has an iOS app that lets you fill out documents on your phone. A subscription to the service means you can make an account or log in to one you already have. As soon as the registration process is done, upload your maintenance zf ccf. You can now use pdfFiller's more advanced features, like adding fillable fields and eSigning documents, as well as accessing them from any device, no matter where you are in the world.
What is maintenance zf ccf?
Maintenance ZF CCF refers to the required documentation and reporting process for maintaining compliance with regulations concerning certain industrial or manufacturing operations.
Who is required to file maintenance zf ccf?
Entities involved in activities regulated under the applicable industry standards, such as manufacturers or operators of certain facilities, are typically required to file maintenance ZF CCF.
How to fill out maintenance zf ccf?
To fill out maintenance ZF CCF, individuals or entities must accurately complete all sections of the form, providing necessary information and supporting documentation as required by the regulatory body.
What is the purpose of maintenance zf ccf?
The purpose of maintenance ZF CCF is to ensure that entities meet compliance with regulatory standards, facilitating transparency and monitoring of industrial operations.
What information must be reported on maintenance zf ccf?
Information such as facility details, operational data, compliance measures, and any incidents or discrepancies must be reported on maintenance ZF CCF.
Fill out your maintenance zf ccf online with pdfFiller!
pdfFiller is an end-to-end solution for managing, creating, and editing documents and forms in the cloud. Save time and hassle by preparing your tax forms online.

Maintenance Zf Ccf is not the form you're looking for?Search for another form here.
Relevant keywords
Related Forms
If you believe that this page should be taken down, please follow our DMCA take down process
here
.
This form may include fields for payment information. Data entered in these fields is not covered by PCI DSS compliance.